Predictive model of COVID-19 outcomes in patients with advanced HIV infection
- Authors: Tsygankova A.E.1,2, Gerasimov A.N.3, Potekaeva S.A.1,2, Krasnova S.V.2, Tsvetkova N.A.2, Maloletneva N.V.1, Volchkova E.V.1, Chulanov V.P.1
-
Affiliations:
- Sechenov First Moscow State Medical University of the Ministry of Health of the Russian Federation (Sechenov University)
- Infectious Diseases Clinical Hospital No 2, Moscow
- Central Research Institute of Epidemiology
- Issue: Vol 27, No 3 (2022)
- Pages: 148-163
- Section: Original study articles
- Submitted: 14.09.2022
- Accepted: 18.10.2022
- Published: 13.12.2022
- URL: https://rjeid.com/1560-9529/article/view/110907
- DOI: https://doi.org/10.17816/EID110907
- ID: 110907
Cite item
Abstract
BACKGROUND: No studies have examined the course and outcomes of coronavirus disease 2019 (COVID-19) in patients with advanced HIV infection, which prompted this analysis.
AIM: To identify predictors of the adverse outcomes of COVID-19 in patients with HIV at the stage of secondary diseases to develop a predictive model of outcomes. This will help simplify the decision-making on the management of patients with COVID-19 and HIV infection at advanced stages.
MATERIALS AND METHODS: This single-center study included 300 patients aged >18 years with HIV infection at advanced disease stage and moderate-to-severe COVID-19 requiring in-patient treatment.
RESULTS: The mortality rate was 27.3% (95% CI, 22.7%–32.4%). Factors reflecting respiratory failure, immunodeficiency, decreased levels of protein and albumin, and increased levels of urea became unfavorable. A predictive model of adverse outcomes of COVID-19 in patients with advanced HIV infection has been obtained.
CONCLUSIONS: The proposed predictive model can help a practical healthcare doctor make a quick, informed decision on hospitalization of a patient in the intensive care unit and active therapeutic actions.
Full Text
ОБОСНОВАНИЕ
31 декабря 2019 г. китайские власти впервые сообщили о вспышке пневмонии среди 44 пациентов в провинции Ухань [1]. Новая инфекция распространялась по миру, и уже 11 марта 2020 г. Всемирная организация здравоохранения объявила о пандемии новой коронавирусной инфекции COVID-19, вызванной вирусом SARS-CoV-2 [2].
Имеются сообщения о том, что особенно тяжело COVID-19 протекает у лиц с иммуносупрессией [3]. Значительной по численности группой с иммунодефицитом являются пациенты с ВИЧ (вирус иммунодефицита человека), и эта группа, особенно пациенты вне приёма антиретровирусной терапии (АРТ), были приняты многими исследователями как группа риска тяжёлого течения COVID-19 [4].
По состоянию на 31 декабря 2021 г. в России живут 1 137 596 человек с лабораторно подтверждённым диагнозом ВИЧ-инфекции [5], в 13 регионах страны ВИЧ-инфекция имеет статус эпидемии, т. е. количество инфицированных превышает 1% [6]. Скорость инфицирования в России одна из самых высоких в мире и самая высокая в Европе [7], что даёт возможность говорить о совпадении и взаимном влиянии этих двух эпидемий с далеко идущими последствиями.
Было продемонстрировано, что в общей популяции появление антител IgG к спайковому белку SARS-CoV-2 связано с лучшей выживаемостью при тяжёлой инфекции COVID-19 [8]. У людей, живущих с ВИЧ-инфекцией на фоне высокой вирусной нагрузки ВИЧ, активируются Т-лимфоциты за счёт увеличения популяции цитотоксических Т-лимфоцитов CD8, что приводит к усилению воспалительных реакций и лимфоцитарному истощению [9]. Нормализация показателей клеточного звена иммунитета в этой группе пациентов происходит с началом АРТ, особенно если лечение начато в ранние сроки с момента инфицирования ВИЧ [9].
У ВИЧ-инфицированных пациентов выявляются функциональные нарушения В-клеток: поликлональная активация, отсутствие и дисфункция В-клеток памяти, причём эти проявления могут не исчезать полностью с началом АРТ [10]. Сниженный ответ на неоантигены или антигены, к которым уже есть сенсибилизация, может сохраняться у пациентов с ВИЧ и снижать эффективность вакцинации против COVID-19 [11].
Изменения в функционировании Т- и В-клеток потенциально могут приводить к более тяжёлому течению COVID-19 у пациентов с ВИЧ, особенно на фоне низкого уровня CD4+ и высокой вирусной нагрузки. В доступной литературе в настоящее время отсутствуют данные по особенностям течения COVID-19 у пациентов с ВИЧ-инфекцией на различных стадиях инфекционного процесса на основании анализа историй болезни, отражающих течение заболевания в реальной клинической практике.
Целью научного исследования является выявление предикторов неблагоприятных исходов COVID-19 у пациентов с ВИЧ-инфекцией на стадии вторичных заболеваний с целью разработки рекомендаций по ведению этой группы пациентов.
МАТЕРИАЛЫ И МЕТОДЫ
Дизайн исследования
Проведено ретроспективное одноцентровое когортное исследование 300 пациентов старше 18 лет с ВИЧ-инфекцией на стадии вторичных заболеваний и подтверждённым COVID-19, подобранных методом случайной выборки. Ввиду отсутствия полных аналогов предварительная оценка размера выборки не проводилась.
Критерии соответствия
Критериями включения явилось среднетяжёлое и тяжёлое течение COVID-19, потребовавшее госпитализации в соответствии с Временными методическими рекомендациями по профилактике, диагностике и лечению новой коронавирусной инфекции (COVID-19) (версии 11–14 в зависимости от их актуальности на момент госпитализации) [12–15]; положительный результат теста ПЦР (полимеразная цепная реакция) на SARS-CoV-2 в образце смывов носо- и ротоглотки и радиологические инфильтраты, характерные для COVID-19 (компьютерная томография органов грудной клетки (КТ ОГК): до 25% поражения — КТ 1, до 50% — КТ 2, до 75% — КТ 3, более 75% — КТ 4), а также установленный диагноз ВИЧ-инфекции в стадии вторичных заболеваний (положительный иммунный блот, стадии 4А, 4Б, 4В) [16].
Критерии исключения: пациенты с туберкулёзом, беременные женщины, пациенты с терминальной стадией почечной и печеночной недостаточности, пациенты моложе 18 лет.
База проведённого исследования
Исследование проведено в 2020–2021 гг. на базе Инфекционной клинической больницы (ИКБ) № 2 г. Москвы, являющейся одним из центров оказания помощи больным COVID-19, а также единственным профильным центром в Москве, занимающимся лечением коинфекции ВИЧ/COVID-19, в связи с чем исследование носит одноцентровый характер.
Продолжительность исследования
Проведён анализ 300 историй болезней госпитализированных пациентов с ВИЧ-инфекцией на стадии вторичных заболеваний и подтверждённым COVID-19, проходивших стационарное лечение в ИКБ № 2 г. Москвы в 2020–2021 гг.
Описание работы
Отбор архивных историй болезни пациентов с ВИЧ и COVID-19 в соответствии с критериями включения и исключения. Оценка клинико-лабораторных данных пациентов с ВИЧ-инфекцией на стадии вторичных заболеваний и COVID-19 на момент госпитализации с целью определения факторов риска неблагоприятного исхода.
Статистическая обработка полученных данных
Описательная статистика, сравнение частот встречаемости признаков и средних значений числовых характеристик в группах выживших и умерших, нелинейное шкалирование, прогнозирование вероятности неблагоприятного исхода по методу линейной регрессии, оценка точности прогноза при помощи ROC-кривой.
Материалы и методы исследования
Были проанализированы следующие данные: пол, возраст, день заболевания на момент госпитализации, сопутствующие соматические заболевания, оппортунистические инфекции, уровень лейкоцитов, лимфоцитов, тромбоцитов, С-реактивный белок, ферритин, D-димер, показатели коагулограммы, уровень антител к COVID-19 на момент поступления [клинико-диагностическая лаборатория и клинико-диагностическая лаборатория (экспресс-диагностики) ИКБ № 2], уровень CD4+, CD8+, иммунорегуляторный индекс, уровень вирусной нагрузки ВИЧ (Центральная лаборатория диагностики ВИЧ-инфекции Московского городского центра профилактики и борьбы со СПИДом); данные клинического осмотра: артериальное давление, частота сердечных сокращений, частота дыхания, температура, сатурация на атмосферном кислороде, балл по шкале NEWS (National Early Warning System — протокол оценки тяжести состояния пациента); инструментальные данные: распространённость поражений лёгочной ткани на КТ ОГК (КТ 1–4) (В ИКБ № 2 исследование выполнялось с толщиной срезов 0,3 мм на томографе Toshiba Aquilion 64), наличие или отсутствие вакцинации против COVID-19, приём АРТ, приём в схеме АРТ противовирусных препаратов, которые оценивались как потенциально возможные к использованию по поводу COVID-19.
Исходы исследования
Основной исход: в настоящем исследовании была запланирована единственная первичная точка — летальный исход во время госпитализации.
Анализ в подгруппах
Проведён сравнительный анализ демографических, клинико-лабораторных показателей и результатов инструментальных методов в группах выживших пациентов и пациентов с летальным исходом.
Методы регистрации исходов
Исходы регистрировались по данным истории болезни — выписному или посмертному эпикризу.
Этическая экспертиза
Исследование одобрено Локальным этическим комитетом Первого Московского государственного медицинского университета имени И.М. Сеченова Министерства здравоохранения Российской Федерации (Сеченовский университет), протокол № 22-21 от 9 декабря 2021 г.
Статистический анализ
Принципы расчёта размера выборки: размер выборки предварительно не рассчитывался ввиду отсутствия прямых аналогов работы.
Методы статистического анализа данных: накопление, корректировка, систематизация исходной информации и визуализация полученных результатов осуществлялись в электронных таблицах Microsoft Office Excel 2016. Статистический анализ проводился с использованием пакета статистических программ IBM SPSS Statistics 22.0.
Для описания категориальных переменных рассчитывались частоты с доверительными границами, истинно числовых — функции распределения и статистические параметры.
Достоверность различия частот определялась при помощи критерия χ2 (для таблиц 2×2 — в точном решении Фишера). Достоверность различия функций распределения определялась при помощи непараметрических критериев Манна–Уитни и Колмогорова–Смирнова; достоверность различия средних — при помощи дисперсионного анализа. Наличие статистических связей между истинно числовыми показателями исследовалось при помощи корреляционного анализа.
Для прогнозирования индивидуального риска неблагоприятного исхода использовался многофакторный анализ. Точность и практическая значимость полученных прогнозов были проанализированы при помощи ROC-кривых.
Применимость методов параметрической статистики была исследована на основании расчёта коэффициентов асимметрии и эксцесса.
Различия считались статистически достоверными (статистически значимыми) при p <0,05.
РЕЗУЛЬТАТЫ
Объекты (участники) исследования
2804 пациента находились на госпитализации в отделениях ИКБ № 2, оказывающих помощь пациентам с COVID-19 в период исследования.
2423 не подошли по критериям включения. У них не было положительного результата теста ПЦР на SARS-CoV-2 в образце смывов носо- и ротоглотки и радиологических инфильтратов, характерных для COVID-19 (КТ ОГК), или установленного диагноза ВИЧ-инфекции на стадии вторичных заболеваний (положительный иммунный блот, стадии 4А, 4Б, 4В).
81 пациент был исключён в связи с критериями исключения: 32 пациентам поставлен диагноз «туберкулёз», 11 пациентов исключены в связи с тяжёлой печёночной недостаточностью, 27 — тяжёлой почечной недостаточностью, 11 — другими различными тяжёлыми состояниями, которые могут сместить результаты исследования.
Таким образом, 300 пациентов вошли в исследование.
Клинико-демографические и лабораторные показатели и факторы, отягчающие течение COVID-19 и ВИЧ-инфекцию на стадии вторичных заболеваний, представлены в табл. 1–4.
Таблица 1. Клинико-демографические показатели и распределение в соответствии с результатами инструментальных исследований пациентов с COVID-19 и ВИЧ-инфекцией на стадии вторичных заболеваний
Table 1. Clinical and demographic indicators and distribution in accordance with the results of instrumental studies of patients with COVID-19 and HIV infection at the stage of secondary diseases
Показатель | Значение (N=300) |
Возраст, Ме (мин. — макс.), лет | 44,53 (21–76) |
Женский пол, n/N (%) | 97/300 (32,3%) |
День заболевания COVID-19 на момент госпитализации, Ме (мин. — макс.) | 17,9 (1–171) |
Повторная госпитализация, n/N (%) | 51/300 (17%) |
Перевод из другого лечебно-профилактического учреждения, n/N (%) | 140/300 (44,67%) |
Введение иммунобиологических препаратов, n/N (%) | 39/289 (13,49%) |
Впервые выявленная ВИЧ-инфекция, n/N (%) | 83/299 (27,76%) |
Длительность госпитализации, Ме (мин. — макс.), дни | 18,67 (1–106) |
Потребность в инсуффляции кислорода, n/N (%) | 158/300 (52,67%) |
Трансфузия плазмы реконвалесцентов COVID-19, n/N (%) | 18/296 (6,08%) |
Вакцинация против COVID-19, n/N (%) | 23/300 (7,67%) |
Вакцинация против COVID-19 вакциной «КовиВак», n/N (%) | 5/176 (2,84%) |
Вакцинация против COVID-19 вакциной «Гам-КОВИД-Вак», n/N (%) | 6/175 (3,43%) |
Доля поражения лёгочной ткани по результатам компьютерной томографии лёгких, n/N (%) | |
КТ 1 (до 25%) | 134/300 (44,6%) |
КТ 2 (до 50%) | 63/300 (21%) |
КТ 3 (до 75%) | 57/300 (19%) |
КТ 4 (больше 75%) | 46/300 (15,3%) |
Таблица 2. Распределение пациентов с COVID-19 и ВИЧ-инфекцией на стадии вторичных заболеваний в соответствии с проводимой им вспомогательной кислородной поддержкой, n/N (%)
Table 2. Distribution of patients with COVID-19 and HIV infection at the stage of secondary diseases in accordance with the auxiliary oxygen support provided to them, n/N (%)
Показатель | Значение (N=300) |
Потребность в инсуффляции кислорода | 158/300 (52,67%) |
Инсуффляция кислорода через кислородный флоуметр | 136/300 (45,33%) |
Проведение высокопоточной оксигенации с помощью аппарата AIRVO | 23/300 (7,67%) |
Проведение высокопоточной оксигенации с помощью аппарата «Авента-М» | 11/300 (3,67%) |
Проведение искусственной вентиляции лёгких | 16/300 (5,33%) |
Таблица 3. Клинико-лабораторные показатели пациентов с COVID-19 и ВИЧ-инфекцией на стадии вторичных заболеваний
Table 3. Clinical and laboratory parameters of patients with COVID-19 and HIV infection at the stage of secondary diseases
Показатель | Значение (N=300) |
Стадия ВИЧ-инфекции, n/N (%) | |
4А | 71/300 (23,6%) |
4Б | 57/300 (19%) |
4В | 172/300 (57,3%) |
Иммунный статус, Ме (мин. — макс.) | |
CD4+ (абсолютное количество), кл/мкл | 65 (0–1248) |
CD4+, % | 9 (0–49) |
CD8+ (абсолютное количество), кл/мкл | 383 (13–2251) |
CD8+, % | 53 (1–91) |
Вирусная нагрузка ВИЧ в плазме, коп/мл | 105 367 (0–10 000 000) |
Вирусная нагрузка ВИЧ меньше определяемого уровня, n/N (%) | 36/142 (25,35%) |
Число лет с момента установления диагноза ВИЧ-инфекции | 6 (0–30) |
Антиретровирусная терапия, n/N (%) | |
Приём АРТ | 112/300 (37,33%) |
Приём АРТ нерегулярно / на старте | 19/149 (12,75%) |
Приём ламивудина в схеме АРТ | 78/285 (27,37%) |
Приём тенофовира в схеме АРТ | 69/285 (24,21%) |
Приём лопинавира/ритонавира в схеме АРТ | 24/284 (8,45%) |
Оппортунистические заболевания, n/N (%) | |
Токсоплазмоз | 11/300 (3,67%) |
Пневмоцистная пневмония | 96/300 (32%) |
Активная цитомегаловирусная инфекция | 35/300 (11,67%) |
Манифестная цитомегаловирусная инфекция с поражением лёгких | 61/299 (20,40%) |
Манифестная цитомегаловирусная инфекция с поражением центральной нервной системы | 9/299 (3,07%) |
Орофарингеальный кандидоз | 118/300 (39,9%) |
Кандидоз желудочно-кишечного тракта, органов дыхания, мочеполовой системы | 42/299 (14,05%) |
Дефицит массы тела более 10% | 104/300 (34,67%) |
Опоясывающий лишай | 3/296 (1,01%) |
Энцефалит | 33/300 (11%) |
Криптококковый менингоэнцефалит | 3/299 (1%) |
Лимфопролиферативное заболевание | 3/300 (1%) |
Бактериальная пневмония | 104/300 (34,67%) |
Грибковая пневмония | 56/300 (18,67%) |
Саркома Капоши | 5/300 (1,67%) |
Таблица 4. Встречаемость дополнительных неблагоприятных факторов и коморбидных состояний у пациентов с ВИЧ-инфекцией на стадии вторичных заболеваний на фоне COVID-19, n/N (%)
Table 4. The incidence of additional adverse factors and comorbid conditions in patients with HIV infection at the stage of secondary diseases against the background of COVID-19, n/N (%)
Характеристика | Значение (N=300) |
Артериальная гипертензия | 13/300 (4,3%) |
Хроническая болезнь почки | 6/300 (2,01%) |
Подагра | 3/300 (1%) |
Указание на злоупотребление алкоголем в анамнезе | 19/300 (6,35%) |
Туберкулёз в анамнезе | 31/299 (10,37%) |
Полихимиотерапия по поводу онкологического заболевания | 4/300 (1,33%) |
Хронический гепатит С | 114/299 (38,13%) |
Хронический гепатит С пролеченный | 3/300 (1%) |
Хронический гепатит В | 14/300 (4,67%) |
Сепсис | 19/297 (6,4%) |
Зависимость от наркотиков, активное употребление | 38/300 (12,67%) |
Инфекции мочевыводящих путей | 21/300 (7%) |
Острое нарушение мозгового кровообращения | 5/300 (1,67%) |
Качественные данные по типу да/нет представлены в виде числа пациентов, у которых этот фактор присутствовал (n), числа пациентов, у которых известны данные по этому фактору (N) и процентному соотношению пациентов, у которых фактор присутствовал к общему числу пациентов, у которых эти данные известны.
Количественные данные представлены в виде медианы (Ме), минимального и максимального значения.
У некоторых пациентов за время госпитализации были использованы разные методы кислородной поддержки для коррекции дыхательной недостаточности.
Результаты исследования
Летальность в исследуемой группе пациентов составила 27,3% [95% доверительный интервал (ДИ) 22,7–32,4%].
Из 70 пациентов со стадией 4А летальный исход наступил у 4 пациентов (5,71%), из 57 пациентов со стадией 4Б — у 5 (8,77%), тогда как из 172 пациентов со стадией 4В — у 72 пациентов, или 41,86%. Различия в летальности у пациентов со стадиями 4А и 4Б были недостоверны, а со стадией 4В — достоверно выше с p <0,001.
В табл. 5 приведены данные по факторам, для которых частота встречаемости достоверно различалась у выживших и у пациентов с летальным исходом. Данные представлены в виде характеристики типа да/нет, где N отражает число пациентов, для которых данные были определены по конкретному показателю (например, среди пациентов, у которых ВИЧ-инфекция была выявлена впервые, данные известны на 216 человек, из которых летальный исход наступил у 43). Числом n обозначено число пациентов с летальным исходом, в следующей графе — во сколько раз риск летального исхода повышается при наличии этого фактора и р-value, показывающий достоверность различий в группе выживших пациентов и с летальным исходом.
Таблица 5. Характеристика факторов, влияющих на выживание и летальный исход у пациентов с COVID-19 и ВИЧ-инфекцией на стадии вторичных заболеваний
Table 5. Characterization of factors affecting survival and mortality in patients with COVID-19 and HIV infection at the stage of secondary diseases
Показатель | Статус пациента | N | n | Летальность, % | Относительный риск | p |
Впервые выявленная ВИЧ-инфекция | Выжил | 216 | 43 | 19,91 | 2,30 | <0,001 |
Умер | 83 | 38 | 45,78 | |||
Нахождение в отделении реанимации и интенсивной терапии | Выжил | 262 | 58 | 22,14 | 2,85 | <0,001 |
Умер | 38 | 24 | 63,16 | |||
Введение иммунобиологических препаратов | Выжил | 250 | 58 | 23,20 | 2,10 | 0,001 |
Умер | 39 | 19 | 48,72 | |||
Вирусная нагрузка ВИЧ меньше определяемого уровня | Выжил | 106 | 25 | 23,58 | 0,35 | <0,001 |
Умер | 36 | 3 | 8,33 | |||
Приём тенофовира в схеме антиретровирусной терапии | Выжил | 216 | 69 | 31,94 | 0,54 | 0,013 |
Умер | 69 | 12 | 17,39 | |||
Приём антиретровирусной терапии | Выжил | 188 | 63 | 33,51 | 0,51 | 0,001 |
Умер | 112 | 19 | 16,96 | |||
Потребность в инсуффляции кислорода | Выжил | 142 | 12 | 8,45 | 5,24 | <0,001 |
Умер | 158 | 70 | 44,30 | |||
Инсуффляция кислорода через кислородный флоуметр | Выжил | 164 | 23 | 14,02 | 3,09 | <0,001 |
Умер | 136 | 59 | 43,38 | |||
Проведение высокопоточной оксигенации с помощью аппарата AIRVO | Выжил | 277 | 64 | 23,10 | 3,39 | <0,001 |
Умер | 23 | 18 | 78,26 | |||
Проведение высокопоточной оксигенации с помощью аппарата «Авента-М» | Выжил | 289 | 74 | 25,61 | 2,84 | 0,002 |
Умер | 11 | 8 | 72,73 | |||
Проведение искусственной вентиляции лёгких | Выжил | 284 | 66 | 23,24 | 4,30 | <0,001 |
Умер | 16 | 16 | 100,00 | |||
Токсоплазмоз | Выжил | 289 | 76 | 26,30 | 2,07 | <0,001 |
Умер | 11 | 6 | 54,55 | |||
Пневмоцистная пневмония | Выжил | 204 | 35 | 17,16 | 2,85 | <0,001 |
Умер | 96 | 47 | 48,96 | |||
Активная цитомегаловирусная инфекция | Выжил | 265 | 65 | 24,53 | 1,98 | 0,004 |
Умер | 35 | 17 | 48,57 | |||
Орофарингеальный кандидоз | Выжил | 182 | 31 | 17,03 | 2,54 | <0,001 |
Умер | 118 | 51 | 43,22 | |||
Кандидоз желудочно-кишечного тракта, органов дыхания, мочеполовой системы | Выжил | 257 | 62 | 24,12 | 1,97 | <0,001 |
Умер | 42 | 20 | 47,62 | |||
Сепсис | Выжил | 278 | 73 | 26,26 | 1,80 | <0,001 |
Умер | 19 | 9 | 47,37 | |||
Бактериальная пневмония | Выжил | 196 | 39 | 19,90 | 2,08 | <0,001 |
Умер | 104 | 43 | 41,35 | |||
Грибковая пневмония | Выжил | 244 | 56 | 22,95 | 2,02 | 0,001 |
Умер | 56 | 26 | 46,43 | |||
Дефицит массы тела более 10% | Выжил | 196 | 36 | 18,37 | 2,41 | <0,001 |
Умер | 104 | 46 | 44,23 | |||
Энцефалит | Выжил | 267 | 59 | 22,10 | 3,15 | <0,001 |
Умер | 33 | 23 | 69,70 | |||
Туберкулёз в анамнезе | Выжил | 268 | 78 | 29,10 | 0,33 | 0,013 |
Умер | 31 | 3 | 9,68 | |||
Саркома Капоши | Выжил | 295 | 77 | 26,10 | 3,83 | 0,001 |
Умер | 5 | 5 | 100,00 |
Таким образом, неблагоприятными факторами, определяющими тяжесть инфекционного процесса, явилась потребность в кислородной поддержке различными методами, а также наличие оппортунистических заболеваний, из которых наиболее значимыми стали саркома Капоши, энцефалиты различной этиологии, токсоплазмоз и пневмоцистная пневмония.
Данные по количественному распределению пациентов по отдельным демографическим и клинико-лабораторным показателям представлены в табл. 6, где N — число пациентов, по которым известны данные по отдельному показателю, M — среднее значение показателя, m — статистическая погрешность среднего, Me — медиана показателя.
Таблица 6. Количественное распределение пациентов по отдельным демографическим и клинико-лабораторных показателям
Table 6. Quantitative distribution of patients according to certain demographic and clinical and laboratory parameters
Показатель / референсное значение | Статус пациента | N | M | m | Me | р (Манна –Уитни) |
Возраст, лет | Выжил | 218 | 43,6 | 0,54 | 43 | 0,002 |
Умер | 82 | 47,01 | 1,09 | 44,5 | ||
Койко-дни | Выжил | 218 | 18,33 | 0,96 | 14 | <0,001 |
Умер | 82 | 19,57 | 1,43 | 18,5 | ||
День заболевания на момент госпитализации | Выжил | 208 | 14,26 | 1,08 | 9 | <0,001 |
Умер | 82 | 27,45 | 3,15 | 19 | ||
Число лет с момента установления диагноза ВИЧ-инфекции | Выжил | 217 | 8,99 | 0,53 | 8 | <0,001 |
Умер | 80 | 4,98 | 0,79 | 0,5 | ||
Шкала NEWS, балл (0–10) | Выжил | 214 | 4 | 0,14 | 4 | <0,001 |
Умер | 81 | 5,69 | 0,26 | 6 | ||
Антитела IgM к SARS-CoV-2, Eд/мл (<2 — положительно) | Выжил | 206 | 2,0486 | 0,25671 | 0,435 | <0,001 |
Умер | 79 | 0,849 | 0,21167 | 0,25 | ||
Антитела IgG к SARS-CoV-2, Ед/мл (<10 — положительно) | Выжил | 206 | 58,312 | 13,5961 | 5,115 | 0,006 |
Умер | 79 | 42,3391 | 21,3748 | 1,95 | ||
CD4+ (абсолютное количество), кл/мкл (600–1900) | Выжил | 208 | 173,28 | 14,532 | 105 | <0,001 |
Умер | 75 | 70,09 | 18,198 | 19 | ||
CD4+, % (35–65) | Выжил | 205 | 15,66 | 0,898 | 13 | <0,001 |
Умер | 74 | 7,85 | 1,182 | 4 | ||
CD8+ (абсолютное количество), кл/мкл (300–800) | Выжил | 201 | 524,1 | 29,909 | 415 | <0,001 |
Умер | 74 | 351,77 | 30,222 | 296,5 | ||
CD8+, % (12–30) | Выжил | 198 | 52,19 | 1,31 | 51,5 | <0,001 |
Умер | 73 | 54,41 | 2,296 | 54 | ||
Иммунорегуляторный индекс (1,20–2,50) | Выжил | 145 | 0,38 | 0,03704 | 0,19 | <0,001 |
Умер | 56 | 0,20607 | 0,05264 | 0,065 | ||
Вирусная нагрузка ВИЧ в плазме, коп/мл | Выжил | 138 | 617 252 | 134 360 | 81 996 | <0,001 |
Умер | 35 | 1 433 706 | 434 918 | 325 169 | ||
Частота дыхания (12–20/мин) | Выжил | 218 | 20,31 | 0,199 | 20 | 0,007 |
Умер | 82 | 21,88 | 0,485 | 21 | ||
Sp02 на атмосферном кислороде, % (96–100) | Выжил | 216 | 93,775 | 0,3394 | 95 | <0,001 |
Умер | 79 | 88,823 | 0,9022 | 89 | ||
Гемоглобин, г/л (117–161) | Выжил | 209 | 119,48 | 1,6704 | 120 | 0,024 |
Умер | 80 | 113,025 | 2,9691 | 115,5 | ||
Гематокрит, % (35–47) | Выжил | 208 | 35,519 | 0,4886 | 35,75 | 0,018 |
Умер | 80 | 33,344 | 0,8594 | 33,35 | ||
Лимфоциты (абсолютное количество), 109/л (1,2–3,8) | Выжил | 208 | 1,1574 | 0,05389 | 0,995 | <0,001 |
Умер | 79 | 0,7951 | 0,075 | 0,6 | ||
Лимфоциты, % (19–45) | Выжил | 208 | 19,708 | 0,8535 | 18,55 | <0,001 |
Умер | 12,935 | 1,3642 | 9 | |||
Нейтрофилы (абсолютное количество), 109/л (1,6–8,9) | Выжил | 205 | 5,266 | 0,2856 | 4,1 | 0,015 |
Умер | 79 | 6,457 | 0,5115 | 6 | ||
Нейтрофилы, % (47–72) | Выжил | 205 | 69,1912 | 1,12479 | 69,6 | <0,001 |
Умер | 79 | 78,0595 | 1,91831 | 82 | ||
Общий белок, г/л (66–83) | Выжил | 211 | 67,555 | 0,64146 | 67,7 | <0,001 |
Умер | 81 | 59,6023 | 1,3693 | 59,6 | ||
Альбумин, г/л (35–52) | Выжил | 139 | 32,3763 | 0,59585 | 32,2 | 0,009 |
Умер | 69 | 26,7868 | 0,60819 | 26,9 | ||
Лактатдегидрогеназа, ЕД/л (0–288) | Выжил | 132 | 470,564 | 27,9017 | 391 | 0,002 |
Умер | 53 | 701,813 | 75,1451 | 557 | ||
Ферритин, нг/мл (20–300) | Выжил | 90 | 496,096 | 45,8348 | 441,55 | <0,001 |
Умер | 48 | 706,102 | 86,2563 | 601 |
На основании данных табл. 6 можно сделать вывод, что у выживших пациентов и с летальным исходом наблюдались достоверные различия в показателях иммунного статуса, в вирусной нагрузке, перераспределении лейкоцитарной формулы (изменение соотношения нейтрофилов и лимфоцитов).
Следовательно, полученные нами данные, отражённые в таблицах, свидетельствуют, что на исход заболевания влияет множество факторов. Комбинация факторов, повышающих риск летального исхода, имеет бÓльшую предсказательную ценность, чем каждый по отдельности, что потребовало проведения многофакторного анализа, задачей которого является создание уравнения регрессии, которое описывает поведение исхода заболевания при изменении интенсивности влияния включённых в исследование факторов и, соответственно, может использоваться для прогнозирования вероятности летального исхода по данным, известным на момент госпитализации.
В основу табл. 7 легли показатели, выявленные нами при анализе клинико-лабораторных и демографических показателей (табл. 5, 6). Для переменных типа да/нет значение признака равно 1, если он есть, и 0, если его нет. Для числовых величин приведены их количественные значения. Далее нами разработана прогностическая модель неблагоприятного исхода. Отбор предикторов для прогностической модели осуществлялся пошаговым методом.
Таблица 7. Прогностически значимые факторы исходов COVID-19 у пациентов с ВИЧ-инфекцией на поздних стадиях
Table 7. Prognostic factors of COVID-19 outcomes in patients with advanced HIV infection
Показатель | B | Статистическая погрешность В | β |
Константа | 1,12434 | 0,28043 | – |
Потребность в инсуффляции кислорода | 0,19789 | 0,09468 | 0,210 |
Стадия ВИЧ 4В | 0,16494 | 0,06633 | 0,172 |
Проведение искусственной вентиляции лёгких | 0,52645 | 0,10703 | 0,300 |
Альбумин, г/л (35–52) | –0,01261 | 0,00418 | –0,189 |
Общий белок, г/л (66–83) | –0,00529 | 0,00265 | –0,127 |
Проведение высокопоточной оксигенации с помощью аппарата AIRVO | 0,32815 | 0,09448 | 0,210 |
Инсуффляция кислорода через кислородный флоуметр | –0,10146 | 0,09696 | –0,109 |
Нормализованное распределение мочевины | 0,06150 | 0,02770 | 0,129 |
CD4+, % (35–65) | –0,00263 | 0,00252 | –0,068 |
Впервые выявленная ВИЧ-инфекция | 0,12910 | 0,06345 | 0,128 |
Частота дыхания (12–20/мин) | –0,01289 | 0,00830 | –0,102 |
Доля поражения лёгочной ткани по результатам компьютерной томографии лёгких (КТ 1–4) | –0,02782 | 0,02928 | –0,068 |
В табл. 7 величина B имеет значения коэффициентов, на которые надо умножить, чтобы получить прогноз, а статистическая погрешность В — статистическая погрешность этих коэффициентов. Так как величина В зависит не только от вклада фактора в прогностическую модель, но и от единиц измерения (например, если заменить рост в сантиметрах на рост в метрах, то В увеличится в 100 раз), то, для сравнения, для величины вклада используется нормализованный показатель β.
Чем больше β по модулю, тем сильнее вклад данного фактора в прогноз [18].
Показатель уровня мочевины (табл. 8) — переменная, распределение которой сильно отличается от нормального (Гауссова), что не позволяет использовать методы параметрической статистики, поэтому для многофакторного анализа исходные значения этой переменной заменены на нормализованное распределение [17].
Таблица 8. Перевод значений мочевины (ммоль/л) в значения переменной «нормализованное распределение мочевины»
Table 8. Converting urea values (mmol/l) to the values of the variable “normalized distribution of urea”
Мочевина, ммоль/л (2,8–7,2) | Нормализованное значение | Мочевина, ммоль/л (2,8–7,2) | Нормализованное значение | Мочевина, ммоль/л (2,8–7,2) | Нормализованное значение | Мочевина, ммоль/л (2,8–7,2) | Нормализованное значение |
1,9 | –2,856963 | 4,8 | –0,112 | 7,8 | 0,7455 | 11,8 | 1,3236 |
2,1 | –2,366358 | 4,9 | –0,064 | 7,9 | 0,7742 | 11,9 | 1,3552 |
2,2 | –2,107518 | 5 | –0,021 | 8 | 0,8034 | 12,6 | 1,377 |
2,3 | –2,001506 | 5,1 | 0,0257 | 8,1 | 0,8334 | 13 | 1,3995 |
2,4 | –1,863112 | 5,2 | 0,0687 | 8,2 | 0,8517 | 13,1 | 1,4227 |
2,5 | –1,733669 | 5,3 | 0,1074 | 8,4 | 0,8641 | 13,4 | 1,4467 |
2,6 | –1,678538 | 5,4 | 0,142 | 8,5 | 0,883 | 14 | 1,4715 |
2,7 | –1,596619 | 5,5 | 0,1767 | 8,7 | 0,9021 | 14,3 | 1,4973 |
2,8 | –1,524198 | 5,6 | 0,1942 | 8,8 | 0,9216 | 14,8 | 1,5242 |
2,9 | –1,471536 | 5,8 | 0,2293 | 8,9 | 0,9482 | 15,7 | 1,5522 |
3,1 | –1,399455 | 5,9 | 0,2914 | 9,1 | 0,9686 | 17,1 | 1,5815 |
3,2 | –1,33399 | 6 | 0,3455 | 9,2 | 0,9893 | 17,2 | 1,6122 |
3,3 | –1,264198 | 6,1 | 0,3961 | 9,3 | 1,0105 | 18,6 | 1,6612 |
3,4 | –1,182633 | 6,2 | 0,4288 | 9,4 | 1,0322 | 19,5 | 1,7147 |
3,5 | –1,092545 | 6,3 | 0,4382 | 9,6 | 1,0619 | 20,5 | 1,7533 |
3,6 | –1,01772 | 6,4 | 0,4715 | 9,7 | 1,0925 | 21,4 | 1,7946 |
3,7 | –0,908605 | 6,5 | 0,5102 | 9,9 | 1,1162 | 21,7 | 1,8393 |
3,8 | –0,768385 | 6,6 | 0,5348 | 10,3 | 1,1405 | 23,7 | 1,888 |
3,9 | –0,668445 | 6,8 | 0,5647 | 10,5 | 1,174 | 23,7 | 1,888 |
4 | –0,579845 | 6,9 | 0,6106 | 10,7 | 1,2001 | 26,2 | 1,9707 |
4,1 | –0,510183 | 7 | 0,6471 | 11 | 1,2001 | 27,2 | 2,0696 |
4,2 | –0,481089 | 7,1 | 0,6631 | 11,1 | 1,2179 | 28 | 2,1488 |
4,3 | –0,438189 | 7,2 | 0,6106 | 11,2 | 1,2361 | 29,1 | 2,2444 |
4,4 | –0,377595 | 7,5 | 0,6631 | 11,4 | 1,2547 | – | – |
4,6 | –0,331921 | 7,6 | 0,6846 | 11,6 | 1,2738 | – | – |
4,7 | –0,199 | 7,7 | 0,712 | 11,7 | 1,2933 | – | – |
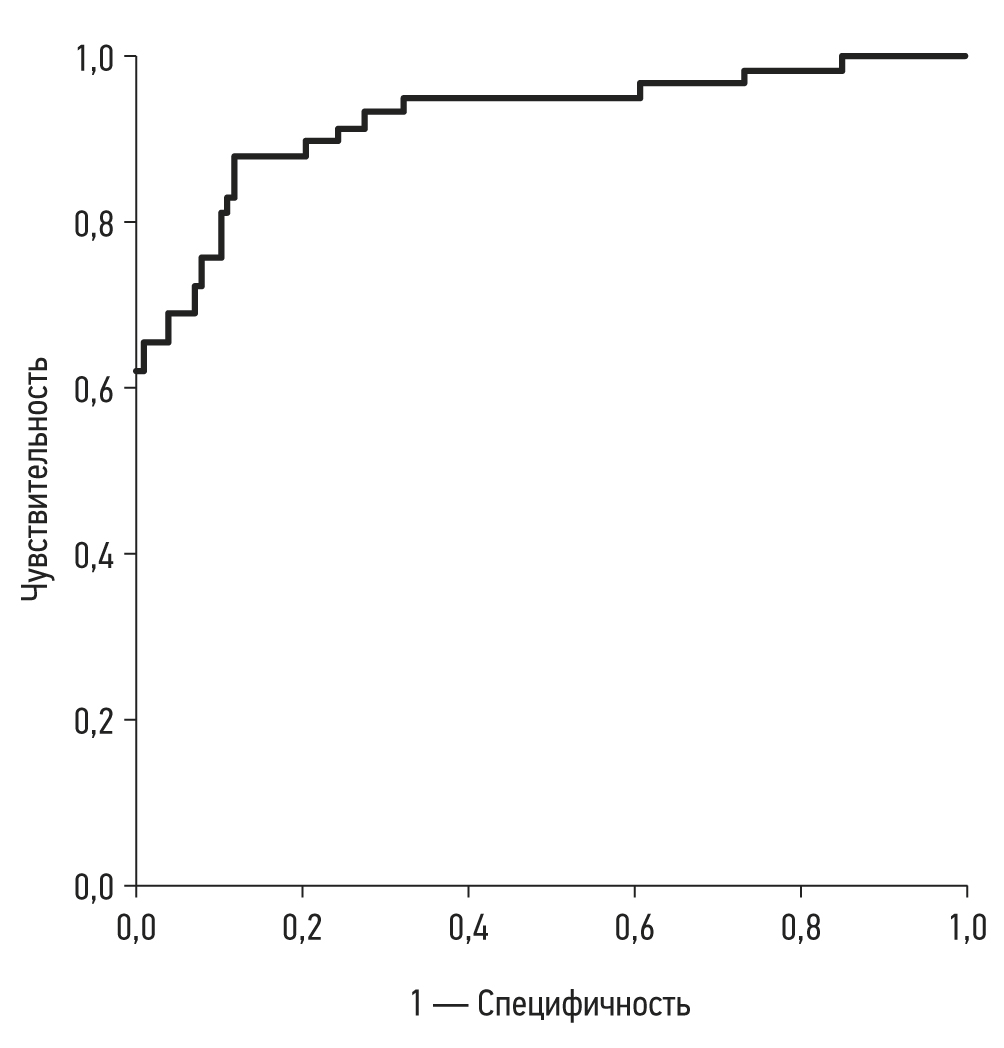
Для оценки практической значимости полученной прогностической модели мы рассчитали значения прогноза для имеющихся переменных, сравнили их с исходом и построили ROC-кривую (рис. 1).
Рис. 1. ROC-кривая прогноза летального исхода.
Рассчитанная в соответствии с табл. 7 величина прогноза — это числовая характеристика: чем больше её значение, тем в среднем больше вероятность летального исхода.
Если произвольным образом задать критическое значение и считать, что для значений прогноза меньше критического будет благоприятный исход, а для значений больше — неблагоприятный, то будет получено деление пациентов по ожидаемому исходу. После сравнения его с фактическим исходом будет возможно рассчитать чувствительность и специфичность прогностического метода.
Если менять величину критического значения, будет меняться чувствительность и специфичность. ROC-кривая — это графическое изображение всех наборов «чувствительность/специфичность».
Если в зависимости от величины прогноза делить пациентов не на две группы, а на несколько, то будет получено деление пациентов на подгруппы с разными вероятностями летального исхода. В нашем случае было выбрано 4 группы, результаты представлены в табл. 9.
Таблица 9. Перевод значений прогноза в вероятность летального исхода
Table 9. Converting forecast values to probability of death
Прогноз | Всего пациентов | Из них умерло | Летальность, % |
<0,2 | 76 | 1 | 1,32 |
0,2–0,5 | 68 | 21 | 30,88 |
0,5–0,7 | 16 | 12 | 75,00 |
>0,7 | 25 | 24 | 96,00 |
Всего | 185 | 58 | 31,35 |
В соответствии с процедурой, описанной выше, мы распределили пациентов по полученному прогнозу на 4 группы. Например, в группе с прогнозом менее 0,2 оказалось 76 пациентов, из которых 1 умер, составив летальность 1,32%.
Величину прогноза можно перевести в вероятность исхода по табл. 9. Для её построения используются данные не 300, а 185 пациентов, которые имели полный набор данных, используемых в прогнозе.
Полученная прогностическая модель (табл. 9) позволяет оценить возможный исход инфекционного процесса у пациентов с COVID-19 и ВИЧ-инфекцией на поздних стадиях на момент поступления в стационар и на основании полученного результата спланировать адекватные терапевтические мероприятия.
Приводим клинический пример практического применения созданной прогностической модели.
КЛИНИЧЕСКИЙ ПРИМЕР
Пациентка М., 40 лет, больна в течение 3 недель: кашель, недомогание, повышение температуры до 38℃. Лечилась симптоматически. Госпитализирована в Городскую клиническую больницу N г. Москвы, через 1 неделю в связи с выявлением ВИЧ-инфекции переведена в ИКБ № 2 на 27-й день болезни.
При поступлении состояние тяжёлое, по шкале NEWS 7 баллов, частота дыхания 24/мин, SpO2 на атмосферном кислороде 84%, через кислородный флоуметр — до 97%.
Лабораторные показатели: общий белок 61,3 г/л, мочевина 28 ммоль/л, альбумин 30,7 г/л, CD4+ 0 кл/мкл, СD4 0%.
КТ ОГК: в обоих лёгких в верхних и нижних долях, больше справа видны уплотнения лёгочной ткани по типу матового стекла и зоны консолидации неправильной формы с преимущественным субплевральным расположением, наиболее выраженные в нижней доле правого лёгкого. Объём поражения — до 75% справа и 25% слева (табл. 10).
Таблица 10. Применение многофакторной модели на примере конкретного пациента
Table 10. Application of a multivariate model on the example of a specific patient
Показатель | Показатели пациентки М. (А) | В | А×В |
Константа | – | – | 1,12434 |
Потребность в инсуффляции кислорода | 1 | 0,19789 | 0,19789 |
Стадия ВИЧ 4В | 1 | 0,16494 | 0,16494 |
Проведение искусственной вентиляции лёгких | 0 | 0,52645 | 0 |
Альбумин, г/л (35–52) | 24,7 | –0,01261 | –0,31147 |
Общий белок, г/л (66–83) | 51,3 | –0,00529 | –0,27138 |
Проведение высокопоточной оксигенации с помощью аппарата AIRVO | 0 | 0,32815 | 0 |
Инсуффляция кислорода через кислородный флоуметр | 1 | –0,10146 | –0,10146 |
Нормализованное распределение мочевины | 2,1488 | 0,0615 | 0,132151 |
CD4+, % (35–65) | 0 | –0,00263 | –0,068 |
Впервые выявленная ВИЧ-инфекция | 1 | 0,1291 | 0,1291 |
Частота дыхания (12–20/мин) | 18 | –0,01289 | –0,23202 |
Доля поражения лёгочной ткани по результатам компьютерной томографии лёгких (КТ 1–4) | 3 | –0,02782 | –0,08346 |
Индекс тяжести | – | – | 0,748581 |
Таким образом, прогноз для данной пациентки оказался равным 0,748581. В соответствии с табл. 9 она отнесена к группе пациентов со значением прогноза >0,7. Это группа высокого риска, летальность в ней составила 96%. Неблагоприятный исход у пациентки М. наступил через 4 дня после госпитализации.
ОБСУЖДЕНИЕ
Резюме основного результата исследования
В исследовании нами выявлены предикторы неблагоприятного исхода COVID-19 у пациентов с ВИЧ-инфекцией на стадии вторичных заболеваний и создана прогностическая многофакторная модель. Ожидаемо неблагоприятными стали факторы, отражающие дыхательную недостаточность: потребность в кислородной поддержке, необходимость её осуществления разными методами, доля поражения лёгочной ткани по результатам КТ ОГК, одышка при объективном осмотре; иммунодефицит — впервые выявленная ВИЧ-инфекция на стадии вторичных заболеваний, ВИЧ в стадии 4В (оппортунистические инфекции, индикаторные для стадии 4В в настоящее время или в анамнезе), процент CD4+-клеток на момент поступления, а также снижение уровня белка и альбумина и повышение уровня мочевины, что отражает катаболические и анаболические процессы в организме, вероятность их декомпенсации.
Обсуждение основного результата исследования
Результаты настоящего исследования носят приоритетный характер и не имеют аналогов в доступной нам литературе. В большинстве опубликованных исследований авторы работают с ослеплёнными данными национальных регистров, из которых пациенты с ВИЧ-инфекцией составляют небольшой процент, принимают АРТ и в целом переносят COVID-19 как большинство пациентов без ВИЧ-инфекции [19]. Так, например, в ретроспективное исследование испанских авторов были включены 234 пациента с ВИЧ-инфекцией и COVID-19, что составило 0,2% от общей популяции 117 694 пациентов, проходивших стационарное лечение в связи с COVID-19. Кроме того, в связи с тем что в Испании охват АРТ людей, живущих с ВИЧ, составляет 95%, то показатели иммунного статуса не учитывались [20].
Ограничения исследования
В исследование вошли пациенты с ВИЧ-инфекцией на стадии вторичных заболеваний (стадии 4А, 4Б, 4В), но внутри этой группы были пациенты, которые когда-то перенесли индикаторное оппортунистическое заболевание, соответствующее 4-й стадии. Согласно настоящей классификации ВИЧ-инфекции стадии болезни не могут изменяться в сторону уменьшения в течение жизни пациента. Некоторые из этих пациентов начали прием АРТ, имеют хороший иммунный статус, соответственно, их показатели и исходы могут смещать результаты исследования. Необходимо провести анализ внутри группы пациентов с ВИЧ-инфекцией на стадии вторичных заболеваний (стадии 4А, 4Б, 4В) в соответствии с показателями иммунного статуса, что будет выполнено в наших дальнейших исследованиях.
ЗАКЛЮЧЕНИЕ
Предложенная модель исходов COVID-19 у пациентов с ВИЧ-инфекцией на поздних стадиях позволит врачу быстро предположить прогноз вероятности неблагоприятного исхода у пациента на момент поступления на основе имеющихся клинических, лабораторных данных и данных инструментального обследования, указанных в табл. 7, и при необходимости предпринять активные терапевтические меры, незамедлительно госпитализировать пациента в палату интенсивного наблюдения.
ДОПОЛНИТЕЛЬНО
Источник финансирования. Авторы заявляют об отсутствии внешнего финансирования при проведении исследования.
Конфликт интересов. Авторы декларируют отсутствие явных и потенциальных конфликтов интересов, связанных с публикацией настоящей статьи.
Вклад авторов. Все авторы подтверждают соответствие своего авторства международным критериям ICMJE (все авторы внесли существенный вклад в разработку концепции, проведение исследования и подготовку статьи, прочли и одобрили финальную версию перед публикацией). Наибольший вклад распределён следующим образом: В.П. Чуланов — разработка дизайна исследования; А.Н. Герасимов — разработка дизайна исследования с использованием математических моделей, статистическая обработка материалов, написание статьи; А.Э. Цыганкова — обработка архивных историй болезни, подбор и анализ литературных источников, статистическая обработка полученных данных, написание статьи; С.А. Потекаева — ведение пациентов, оформление историй болезни; С.В. Краснова, Н.А. Цветкова — подбор и одобрение клинического материала исследования в соответствии с этическими нормами; Н.В. Малолетнева, Е.В. Волчкова — вычитывание статьи, правки, одобрение рукописи на направление на рецензирование, подбор и анализ литературных источников.
Информированное согласие на публикацию. Авторы получили письменное согласие пациентки на публикацию медицинских данных в журнале «Эпидемиология и инфекционные болезни».
ADDITIONAL INFORMATION
Funding source. This study was not supported by any external sources of funding.
Competing interests. The authors declare that they have no competing interests.
Authors’ contribution. All authors made a substantial contribution to the conception of the work, acquisition, analysis, interpretation of data for the work, drafting and revising the work, final approval of the version to be published and agree to be accountable for all aspects of the work. V.P. Chulanov — study design development; A.N. Gerasimov — development of research design using mathematical models, statistical processing of materials, description of the article; A.E. Tsygankova — processing of archival flows of diseases, selection and analysis of literary sources, statistical processing of data income, description of articles; S.A. Potekaeva — patient management, registration of series of diseases; S.V. Krasnova, N.A. Tsvetkova — selection and approval of clinical research material in accordance with ethical standards; N.V. Maloletneva, E.V. Volchkova — proofreading articles, recommendations, approval of manuscripts for review, selection and analysis of literary sources.
Consent for publication. Written consent was obtained from the patient for publication of relevant medical information within the manuscript in Epidemiology and Infectious Diseases journal.
About the authors
Anna E. Tsygankova
Sechenov First Moscow State Medical University of the Ministry of Health of the Russian Federation (Sechenov University); Infectious Diseases Clinical Hospital No 2, Moscow
Author for correspondence.
Email: anna.tsygankova.inf@gmail.com
ORCID iD: 0000-0003-3766-1868
SPIN-code: 6583-0476
MD
Russian Federation, Moscow; MoscowAndrey N. Gerasimov
Central Research Institute of Epidemiology
Email: andr-gerasim@yandex.ru
ORCID iD: 0000-0003-4549-7172
SPIN-code: 4742-1459
Scopus Author ID: 141741
Dr. Sci. (Phys.-Math.), Associate Professor
Russian Federation, MoscowSvetlana A. Potekaeva
Sechenov First Moscow State Medical University of the Ministry of Health of the Russian Federation (Sechenov University); Infectious Diseases Clinical Hospital No 2, Moscow
Email: infection_mma@mail.ru
ORCID iD: 0000-0002-4771-9616
SPIN-code: 6105-8492
Scopus Author ID: 493696
MD, Cand. Sci. (Med.)
Russian Federation, Moscow; MoscowSvetlana V. Krasnova
Infectious Diseases Clinical Hospital No 2, Moscow
Email: ikb2@zdrav.mos.ru
ORCID iD: 0000-0001-8592-5624
SPIN-code: 3652-3811
Scopus Author ID: 1137169
MD, Cand. Sci.(Med.)
Russian Federation, MoscowNatalia A. Tsvetkova
Infectious Diseases Clinical Hospital No 2, Moscow
Email: 3655192@mail.ru
ORCID iD: 0000-0003-3323-3401
SPIN-code: 5322-6167
MD, Cand. Sci. (Med.)
Russian Federation, MoscowNatalia V. Maloletneva
Sechenov First Moscow State Medical University of the Ministry of Health of the Russian Federation (Sechenov University)
Email: natalya-maloletneva@yandex.ru
ORCID iD: 0000-0003-0430-731X
SPIN-code: 8267-9750
MD, Cand. Sci. (Med.), Associate Professor
Russian Federation, MoscowElena V. Volchkova
Sechenov First Moscow State Medical University of the Ministry of Health of the Russian Federation (Sechenov University)
Email: antononina@rambler.ru
ORCID iD: 0000-0003-4581-4510
SPIN-code: 3342-4681
MD, Dr. Sci (Med.), Professor
Russian Federation, MoscowVladimir P. Chulanov
Sechenov First Moscow State Medical University of the Ministry of Health of the Russian Federation (Sechenov University)
Email: vladimir.chulanov@rcvh.ru
ORCID iD: 0000-0001-6303-9293
SPIN-code: 2336-4545
MD, Dr. Sci. (Med.), Professor
Russian Federation, MoscowReferences
- Pneumonia of unknown cause — China. Available from: https://www.who.int/emergencies/disease-outbreak-news/item/2020-DON229 Accessed: Nov 10, 2022
- WHO Director-General’s opening remarks at the media briefing on COVID-19 — 11 March 2020. Available from: https://www.who.int/director-general/speeches/detail/who-director-general-s-opening-remarks-at-the-media-briefing-on-covid-19---11-march-2020/. Accessed: Nov 10, 2022.
- Shields AM, Anantharachagan A, Arumugakani G, et al. Outcomes following SARS-CoV-2 infection in patients with primary and secondary immunodeficiency in the UK. Clin Exp Immunol. 2022;209(3):247–258. doi: 10.1093/cei/uxac008
- Nomah DK, Reyes-Urueña J, Díaz Y, et al.; PISCIS study group. Sociodemographic, clinical, and immunological factors associated with SARS-CoV-2 diagnosis and severe COVID-19 outcomes in people living with HIV: a retrospective cohort study. Lancet HIV. 2021;8(11):e701–e710. doi: 10.1016/S2352-3018(21)00240-X
- HIV infection in the Russian Federation on December 31, 2021. Available from: http://www.hivrussia.info/wp-content/uploads/2022/03/Spravka-VICH-v-Rossii-na-31.12.2021-g..pdf. Accessed: Nov 10, 2022. (In Russ).
- On the epidemiological situation of HIV infection in the Russian Federation, the prevention of HIV infection at the workplace. Moscow: Rospotrebnadzor; 2019. (In Russ).
- Russia and countries of the world. 2020. Moscow: Rosstat; 2020. 385 p. (In Russ).
- Atyeo C, Fischinger S, Zohar T, et al. Distinct Early Serological Signatures Track with SARS-CoV-2 Survival. Immunity. 2020;53(3):524–532.e4. doi: 10.1016/j.immuni.2020.07.020
- Fenwick C, Joo V, Jacquier P, et al. T-cell exhaustion in HIV infection. Immunol Rev. 2019;292(1):149–163. doi: 10.1111/imr.12823
- Moir S, Fauci AS. B-cell responses to HIV infection. Immunol Rev. 2017;275(1):33–48. doi: 10.1111/imr.12502
- Lin KY, Wu PY, Liu WD, et al. Effectiveness of COVID-19 vaccination among people living with HIV during a COVID-19 outbreak. J Microbiol Immunol Infect. 2022;55(3):535–539. doi: 10.1016/j.jmii.2022.04.006
- Avdeev SN, Adamyan LV, Alekseeva EI, et al. Prevention, Diagnosis, and Treatment of Novel Coronavirus Infection (COVID-19): Interim Guidelines. Version 11 (05/07/2021). Moscow; 2021. 225 p. (In Russ).
- Avdeev SN, Adamyan LV, Alekseeva EI, et al. Prevention, Diagnosis, and Treatment of Novel Coronavirus Infection (COVID-19): Interim Guidelines. Version 12 (09/21/2021). Moscow; 2021. 232 p. (In Russ).
- Avdeev SN, Adamyan LV, Alekseeva EI, et al. Prevention, Diagnosis, and Treatment of Novel Coronavirus Infection (COVID-19): Interim Guidelines. Version 13 (10/14/2021). Moscow; 2021. 237 p. (In Russ).
- Avdeev SN, Adamyan LV, Alekseeva EI, et al. Prevention, Diagnosis, and Treatment of Novel Coronavirus Infection (COVID-19): Interim Guidelines. Version 14 (12/27/2021). Moscow; 2021. 233 p. (In Russ).
- Order of the Ministry of Health of the Russian Federation dated November 20, 2018 No. 802n “Ob utverzhdenii standarta pervichnoy mediko-sanitarnoy pomoshchi vzroslym pri bolezni, vyzvannoy virusom immunodefitsita cheloveka (VICH) (antiretrovirusnaya terapiya tret’yego ryada)”. Available from: https://www.garant.ru/products/ipo/prime/doc/72025248/. (In Russ).
- Gerasimov AN, Morozova NI. Parametric and Nonparametric Methods in Medical Statistics. Epidemiology and Vaccinal Prevention. 2015;14(5):6–12. (In Russ). doi: 10.31631/2073-3046-2015-14-5-6-12
- Gerasimov AN. Medical statistics. Moscow: MIA; 2007. 480 p. (In Russ).
- Bhaskaran K, Rentsch CT, MacKenna B, et al. HIV infection and COVID-19 death: a population-based cohort analysis of UK primary care data and linked national death registrations within the OpenSAFELY platform. Lancet HIV. 2021;8(1):e24–e32. doi: 10.1016/S2352-3018(20)30305-2
- Moreno-Torres V, de Mendoza C, Martínez-Urbistondo M, et al. Predictors of in-hospital mortality in HIV-infected patients with COVID-19. QJM. 2022:hcac215. doi: 10.1093/qjmed/hcac215
Supplementary files



