A method for predicting the effectiveness of glucocorticoid therapy in patients with moderate COVID-19 based on simple clinical and laboratory data
- Authors: Efremov D.O.1, Beloborodov V.B.2
-
Affiliations:
- Branch No. 1 of the National Medical Research Center for High Medical Technologies
- Russian Medical Academy of Continuous Professional Education
- Issue: Vol 27, No 2 (2022)
- Pages: 75-88
- Section: Original study articles
- Submitted: 04.08.2022
- Accepted: 06.09.2022
- Published: 27.10.2022
- URL: https://rjeid.com/1560-9529/article/view/109612
- DOI: https://doi.org/10.17816/EID109612
- ID: 109612
Cite item
Abstract
BACKGROUND: In patients hospitalized with coronavirus infection (COVID-19), methods for predicting the effectiveness of anti-inflammatory therapy have important practical implications for optimizing treatment and outcomes. To date, several indicators of COVID-19 patients (age, comorbidities, and laboratory criteria for the intensity of inflammation) have been identified to indicate a high probability of a severe course and a risk of an adverse outcome. However, the problem of predicting the effectiveness of anti-inflammatory therapy in patients with moderate COVID-19 is not well understood.
AIM: This study aimed to develop a predictive model to determine the effectiveness/failure of anti-inflammatory therapy with glucocorticosteroids (GCS) in patients with moderate COVID-19 to improve the treatment outcomes of hospitalized patients.
MATERIALS AND METHODS: This study retrospectively analyzed electronic medical record data of all patients admitted consecutively from October 1, 2020, to January 31, 2021. The study included 71 patients with probable (clinically confirmed) and confirmed (laboratory) COVID-19 of moderate course, with characteristic changes in the lungs according to computed tomography of the chest organs (CT-CCT). Given the severity of the course, all study patients were prescribed GCS in accordance with the current version of the Interim Guidelines of the Ministry of Health of the Russian Federation.
RESULTS: A total of 71 patients were studied, and 53 (74.7%) of them did not require an escalation of anti-inflammatory therapy, which is regarded as an effective use of corticosteroids as an anti-inflammatory therapy (group 1). In the remaining 18 patients, the use of corticosteroids for an average of 5.5 (3–6) days did not have a definite clinical effect and required the additional use of monoclonal antibodies (MCA) to interleukin-6 (IL-6) or to its receptor (group 2). Using logistic regression analysis and receiver operating characteristic analysis, a mathematical model was developed and evaluated to predict the outcome of anti-inflammatory corticosteroid therapy in patients with moderate COVID-19. As risk factors, indicators that had significant differences in the studied groups before GCS initiation were selected: number of lymphocytes, platelets, and body temperature. The quality of the constructed model is assessed as very good, and the optimal cutoff point is 0.697. The sensitivity index of the model is 81.1%, and the specificity index is 72.2%.
CONCLUSIONS: The mathematical model makes it possible to predict the effectiveness of GCS therapy according to the number of lymphocytes, platelets, and body temperature. The mathematical model is adequate and has a high sensitivity and specificity.
Full Text
ОБОСНОВАНИЕ
Основными причинами тяжёлого течения COVID-19 и его неблагоприятных исходов являются повреждение сердца и лёгких, развитие острого респираторного дистресс-синдрома и генерализованного воспаления, крайняя степень выраженности которого трактуется как цитокиновый шторм [1]. При этом клиническая картина COVID-19 отличается широкой вариабельностью — от бессимптомных форм до развития синдрома полиорганной недостаточности.
Опасность тяжёлого течения и неблагоприятного исхода инфекции, отсутствие конкретного препарата, специально разработанного против SARS-CoV-2, делает актуальным более раннее, обоснованное с точки зрения патофизиологии применение противовоспалительной терапии у госпитализированных пациентов с целью предупреждения развития тяжёлых осложнений COVID-19 [2–4]. Имеются определённые противоречия в оценке значимости и тактике применения глюкокортикоидов (ГКС) в качестве противовоспалительной терапии у госпитализированных пациентов со среднетяжёлым течением инфекции [5–8]. Поэтому актуальной задачей является разработка показаний к назначению ГКС на основе ранних и надёжных клинико-лабораторных маркеров, позволяющих прогнозировать тяжесть течения инфекции и вероятность успешного ответа на проводимую терапию. Это особенно важно для пациентов, состояние которых на момент госпитализации не оценивается как тяжёлое или крайне тяжёлое, но при динамическом наблюдении остаётся нестабильным или ухудшается. Ряд немодицифируемых показателей, таких как возраст, сопутствующая патология, ожирение, уже используются в качестве глобальных предикторов развития тяжёлого состояния [9, 10].
Наиболее распространёнными симптомами у пациентов с COVID-19 являются лихорадка, общая слабость и сухой кашель, у части пациентов может развиваться дыхательная недостаточность [11, 12]. Основными лабораторными признаками неблагоприятного течения и прогноза инфекции являются снижение количества лимфоцитов и тромбоцитов при исходно нормальном количестве лейкоцитов и нарастании синдрома активации макрофагов [13]. У пациентов в критическом состоянии вследствие неэффективного или чрезмерного иммунного ответа, приводящего к генерализованному воспалению, повышаются концентрации таких маркеров воспаления, как уровень C-реактивного белка (СРБ), ферритина, прокальцитонина и D-димера, интерлейкина (ИЛ) 1, ИЛ-6. Результаты метаанализов показали, что повышенные уровни маркеров воспаления, тромбоцитопения, лимфопения и лихорадка являются предикторами неблагоприятного исхода у пациентов с COVID-19 [9, 10, 14, 15].
В случае если процесс воспаления принимает генерализованный характер и развивается тяжёлое осложнение COVID-19 — цитокиновый шторм, с целью контроля генерализованного воспаления широко применяют кортикостероидные гормоны, эффективность которых была подтверждена в многоцентровом проспективном исследовании [5, 16]. Однако прогноз эффективности кортикостероидов у пациентов со среднетяжёлым течением COVID-19, с наличием риска неблагоприятного течения на раннем этапе стационарного лечения является недостаточно изученной и очень актуальной задачей.
Цель исследования — разработать прогностическую модель для определения эффективности/неэффективности противовоспалительной терапии ГКС у пациентов со среднетяжёлым течением COVID-19 для улучшения результатов лечения госпитализированных пациентов.
МАТЕРИАЛЫ И МЕТОДЫ
Дизайн исследования
Обсервационное одноцентровое ретроспективное выборочное наблюдательное исследование. Проведён скрининг историй болезни 121 пациента — всех последовательно поступивших с диагнозом «COVID-19, среднетяжёлое течение», из них критериям включения в исследование (назначение ГКС) соответствовал 71 пациент, у которого были изучены данные электронной истории болезни.
Время проведения
С 1 октября 2020 г. по 31 января 2021 г.
Место проведения
Исследование проводилось на базе инфекционного центра филиала №1 Национального медицинского исследовательского центра высоких медицинских технологий имени А.А. Вишневского (ФГБУ «НМИЦ ВМТ имени А.А. Вишневского» МО РФ).
Критерии включения
Все пациенты, госпитализированные:
- с вероятным (клинически подтвержденным);
- и подтвержденным (лабораторно) случаем COVID-19 среднетяжёлого течения в сочетании с характерными изменениями в лёгких по данным компьютерной томографии органов грудной клетки (КТ ОГП);
- наличием показаний для назначения ГКС;
- включением в схему лечения ГКС.
Описание медицинского вмешательства
Обследование пациентов, диагностика коронавирусной инфекции (COVID-19), её осложнений, сопутствующих заболеваний проводились согласно временным методическим рекомендациям (ВМР) «Профилактика, диагностика и лечение новой коронавирусной инфекции (COVID-19)» версий 8, 9, актуальным на момент проведения исследования [17, 18]. Данные демографических показателей, сопутствующая патология, симптомы, клинические показатели, результаты лабораторных и инструментальных исследований были получены из базы электронных историй болезни пациентов, находившихся на стационарном лечении в инфекционном центре филиала № 1 ФГБУ «НМИЦ ВМТ имени А.А. Вишневского» МО РФ (г. Красногорск), поступивших последовательно в период с 1 октября 2020 г. по 31 января 2021 г с диагнозом «(новая) коронавирусная инфекция (COVID-19) среднетяжёлого течения». Тяжесть состояния пациентов и порядок назначения ГКС определялись согласно положениям, изложенным в актуальном для времени исследования варианте ВМР [17, 18].
Среднетяжёлое течение COVID-19 характеризовалось:
- повышением температуры тела >38°C;
- частотой дыхательных движений более 22 в минуту;
- одышкой при физической нагрузке;
- изменениями в лёгких по данным КТ ОГП, типичными для вирусного поражения (объемом поражения лёгких минимальным или средним, КТ 1–2);
- SaO2 <95%;
- СРБ сыворотки крови >10 мг/л.
ГКС являлись основными препаратами для проведения противовоспалительной терапии, показаниями к назначению вне отделений реанимации и интенсивной терапии служили наличие признаков цитокинового шторма и нарастание синдрома активации макрофагов (нарастание уровня ферритина, СРБ сыворотки крови, развитие двух-трёхростковой цитопении). Тактика ведения таких пациентов подразумевала назначение препаратов группы ГКС по схеме: метилпреднизолон по 120–125 мг внутривенно каждые 6–8 ч или дексаметазон 20 мг в сутки внутривенно по 2 введения в течение не менее 3 дней с последующим постепенным снижением дозы на 20–25% на введение каждые 1–2 дня в течение 3–4 суток, далее на 50% каждые 1–2 дня до полной отмены.
Исходы исследования
Основной исход исследования
Используя логистический регрессионный анализ и ROC-анализ, получена и проведена оценка математической модели, позволяющей прогнозировать исход противовоспалительной терапии ГКС у пациентов со среднетяжёлым течением COVID-19 по показателям абсолютного количества лимфоцитов, тромбоцитов и температуры тела.
Дополнительные исходы исследования
Получены клинико-лабораторные доказательства ухудшения течения COVID-19 у пациентов, которые нуждались в последующей эскалации противовоспалительной терапии моноклональных антител (МКА) в среднем на 5,5 (3–6-е) сутки лечения кортикостероидами.
Анализ в подгруппах
Не проводился.
Методы регистрации исходов
Исходом эффективного применения ГКС считались стабилизация клинического состояния, нормализация лабораторных показателей и отсутствие показаний к эскалации противовоспалительной терапии. Данные об исходах получены из электронных историй болезни (эпикризов).
Этическая экспертиза
Исследование соответствует положениям Хельсинской декларации от 2013 г., ретроспективный наблюдательный дизайн исследования не требовал получения информируемого согласия пациентов и выделения контрольной группы (не получавших ГКС).
Статистический анализ
Принципы расчёта размера выборки
Размер выборки предварительно не рассчитывался. Методом групповой выборки из совокупности электронных историй пациентов, находившихся на стационарном лечении в инфекционном центре филиала № 1 ФГБУ «ВНИЦ ВМТ имени А.А. Вишневского» МО РФ, поступивших последовательно за 4 мес (количество), отобраны случаи заболевания COVID-19 среднетяжёлого течения.
Методы статистического анализа данных
Статистический анализ проводился с помощью пакета прикладных программ STATISTICA 10 для Windows. Проверку принадлежности выборок нормальному распределению осуществляли с помощью критериев Колмогорова–Смирнова, Шапиро–Уилка. Категориальные переменные выражались в виде частот и процентов, а непрерывные переменные с тенденцией к центральной позиции основной массы значений — в виде среднего значения (М) и стандартного отклонения (SD), границ 95%-го доверительного интервала (95% ДИ). Для сравнения количественных показателей, распределение которых отличалось от нормального, применяли медианы значений (Me) и межквартильные интервалы (Q1–Q3). Анализ достоверных различий между двумя независимыми группами проводили с помощью U-критерия Манна–Уитни. Анализ различий между двумя зависимыми группами проводили с помощью W-критерия Уилкоксона. Анализ корреляционных связей определяли с применением коэффициентов Спирмена и гамма. Для построения прогностической модели использовали логистический регрессионный анализ. Прогностическую оценку модели проводили с помощью ROC-анализа, по данным которого определяли значения чувствительности и специфичности прогноза в оптимальной точке разделения. Качество построенной модели оценивалось по площади под ROC-кривой.
Достоверно статистически значимыми считали различия при р <0,05.
РЕЗУЛЬТАТЫ
Участники исследования
Проведён скрининг 121 электронной истории болезни пациентов, поступивших с диагнозом «COVID-19, среднетяжёлое течение»; из них 50 пациентов не получали ГКС, т.е. не соответствовали критериям включения. Проанализированы данные электронных историй болезни всех пациентов (n=71), госпитализированных в период с 1 октября 2020 по 31 января 2021 г. в инфекционный центр филиала № 1 ФГБУ «НМИЦ ВМТ имени А.А. Вишневского» МО РФ, соответствующих критериям включения:
- наличие вероятной (клинически подтверждённой) и подтверждённой (лабораторно) коронавирусной инфекции (COVID-19) среднетяжёлого течения с характерными изменениями в лёгких по данным КТ ОГП;
- назначение курса ГКС в стационарных условиях при поступлении. Показанием к госпитализации была недостаточная эффективность амбулаторного лечения.
В дальнейшем ретроспективно пациенты были разделены на две группы:
- группа 1 (n=53) — пациенты с эффективным назначением ГКС;
- группа 2 (n=18) — пациенты с недостаточной эффективностью ГКС и потребностью в эскалация противовоспалительной терапии с использованием МКА к ИЛ-6 или его рецептору.
Дополнительно проведено сравнение показателей в группе 2 до назначения ГКС и МКА.
Согласно данным, представленным в табл. 1, средний возраст пациентов, включённых в исследование, составил 57,4±11,8 (54,6–60,2) года, преобладали лица мужского пола — 71,8%. Большинство пациентов (53 человека — 74,6%) имели хронические заболевания и их сочетания. Наиболее частыми сопутствующими заболеваниями были: повышение индекса массы тела у 58 (81,7%) пациентов, гипертоническая болезнь — у 40 (56,3%), сахарный диабет — у 16 (22,5%). Существенно реже наблюдались хроническая болезнь почек — у 4 (5,6%) пациентов, хронический гепатит — у 3 (4,2%), злокачественные новообразования — у 2 (2,8%), хроническая обструктивная болезнь лёгких — у 2 (2,8%). Пациенты поступили в стационар в среднем на 7,1±3,0 (6,4–7,8) день болезни. Продолжительность госпитализации составила в среднем 16,1±5,4 (14,8–17,3) суток. Выписаны с полным выздоровлением 64 пациента (90,1%), умерло 7 (9,9%) пациентов, причиной смерти была полиорганная недостаточность.
Таблица 1. Основные демографические показатели, сопутствующая патология и клинические исходы госпитализированных пациентов COVID-19, получавших глюкокортикоиды (n=71)
Table 1. Basic demographics, comorbidities, and clinical outcomes of hospitalized COVID-19 patients treated with corticosteroids (n=71)
№ | Показатели | n | % |
1 | Пол | – | – |
1.1 | Мужской | 51 | 71,8 |
2 | Средний возраст, M±SD (95% ДИ) | 57,4±11,8 (54,6–60,2) | – |
3 | Курение | 3 | 4,2 |
4 | Хронические заболевания | 53 | 74,6 |
4.1 | Избыточная масса тела (ИМТ >25) | 58 | 81,7 |
4.2 | Гипертоническая болезнь | 40 | 56,3 |
4.3 | Сахарный диабет | 16 | 22,5 |
4.4 | Хроническая болезнь почек | 4 | 5,6 |
4.5 | Хронический гепатит | 3 | 4,2 |
4.6 | Злокачественные новообразования | 2 | 2,8 |
4.7 | ХОБЛ | 2 | 2,8 |
5 | Исход заболевания | – | – |
5.1 | Выздоровело | 64 | 90,1 |
5.2 | Умерло | 7 | 9,9 |
5.3 | Лечение в ОРИТ | 19 | 26,7 |
6 | Сутки госпитализации от начала болезни, M±SD (95% ДИ) | 7,1±3,0 (6,4–7,8) | – |
7 | Продолжительность госпитализации, M±SD (95% ДИ) | 16,1±5,4 (14,8–17,3) | – |
8 | Сутки болезни, на момент назначения ГКС, M±SD (95% ДИ) | 7,9±3,0 (7,2–8,6) | – |
9 | Респираторная поддержка | – | – |
9.1 | Инсуфляция кислорода | 35 | – |
9.2 | Высокопоточная оксигенотерапия | 8 | – |
9.3 | Искусственная вентиляция лёгких | 6 | – |
Примечание. 95% ДИ — 95%-й доверительный интервал; ИМТ — индекс массы тела; ХОБЛ — хроническая обструктивная болезнь лёгких; ОРИТ — отделение реанимации и интенсивной терапии; ГКС — глюкокортикоиды.
Note: 95% ДИ — 95% confidence interval; ИМТ — body mass index; ХОБЛ — chronic obstructive pulmonary disease; ОРИТ — resuscitation and intensive care unit; ГКС — glucocorticoids.
Наиболее частыми симптомами при поступлении были общая слабость (98,5%), повышение температуры тела (91,5%), сухой кашель (88,7%) и одышка (40,8%). Существенно реже наблюдались аносмия (22,5%) и выделение мокроты (22,5%). Ещё реже пациенты предъявляли жалобы на головную боль, боль в горле, диарею, которые обычно бывают ранними проявлениями инфекции.
До назначения ГКС (табл. 2) выявлено достоверное (P <0,05) различие показателей абсолютного количества лимфоцитов [1,4 (0,9–1,9) против 1,0 (0,7–1,3)×109/л] и тромбоцитов [172 (127–215) против 138,5 (120–160)×109/л], температуры тела [37,9 (37,5–38,5) против 38,5 (38,5–39,0)℃]. Причём снижение абсолютного количества лимфоцитов и тромбоцитов, фебрильный характер лихорадки существенно чаще встречались у пациентов группы 2, по остальным изученным показателям достоверных различий в группах не выявлено. Наличие лимфопении, тромбоцитопении и фебрильной лихорадки умеренно коррелировало с низким ответом на применение ГКС и указывало на необходимость ранней эскалации противовоспалительной терапии с помощью МКА к ИЛ-6 или его рецептору (табл. 2).
Таблица 2. Основные показатели госпитализированных пациентов, получавших кортикостероиды (группа 1) или последовательно глюкокортикоиды и моноклональные антитела против интерлейкина-6 или его рецептора (группа 2) перед применением глюкокортикоидов
Table 2. Main indicators of hospitalized patients who received corticosteroids (group 1) or who received sequentially glucocorticoids and monoclonal antibodies against IL-6 or its receptor (group 2) before using corticosteroids
Показатель | Группа 1 (n=53) | Группа 2 (n=18) | P | r, P |
Мужской пол, n (%) | 38 (71,7) | 13 (72,3) | – | – |
Избыточная масса тела (ИМТ >25 кг/м2) | 43 (81,1) | 15 (83,3) | – | – |
Ожирение (ИМТ >30 кг/м2) | 18 (33,9) | 10 (55,5) | – | – |
Госпитализация от начала болезни (дни) | 8 (5–9) | 6 (5–8) | >0,05 | – |
Назначение ГКС от начала болезни (дни) | 8 (6–10) | 7 (5–8) | >0,05 | – |
Назначение МКА от начала болезни (дни) | – | 11 (9–13) | – | – |
Неэффективность лечения ГКС (дни) | – | 5,5 (3–6) | – | – |
Средняя суточная доза ГКС (дексаметазон, мг) | 14,3 (12,7–15,3) | 14,7 (14–16,7) | >0,05 | – |
Количество лейкоцитов (×109/л) | 6,3 (5–7,7) | 5,1 (4,2–6,8) | >0,05 | |
Количество лимфоцитов (×109/л) | 1,4 (0,9–1,9) | 1,0 (0,7–1,3) | <0,05* | Гамма = –0,32; Р <0,0144 |
Количество нейтрофилов (×109/л) | 4,3 (2,9–5,2) | 3,6 (2,9–4,4) | >0,05 | – |
Количество тромбоцитов (×109/л) | 172 (127–215) | 138,5 (120–160) | <0,05* | R = –0,28; Р <0,05 |
СРБ (мг/л) | 59,3 (23,4–74,2) | 61,5 (33,9–80,9) | >0,05 | – |
Температура (℃) | 37,9 (37,5–38,5) | 38,5 (38,5–39,0) | <0,05* | R = –0,38; Р <0,05 |
Компьютерная томография органов грудной клетки (КТ 1–4) | 2 (1–2) | 1 (1–2) | >0,05 | – |
Возраст (лет) | 57 (46–63) | 60 (50–68) | >0,05 | – |
Оценка по шкале NEWS (баллы) | 2 (2–2) | 2 (1–2) | >0,05 | – |
SaО2 без инсуфляции кислорода | 95 (93–97) | 95 (93–96) | >0,05 | – |
Частота дыхательных движений в мин | 18 (18–20) | 18 (18–20) | >0,05 | – |
ИМТ (кг/м2) | 28,4 (26,9–31,9) | 31,2 (29,4–33,4) | <0,05 | – |
Индекс соотношения нейтрофилов к лимфоцитам | 3,0 (1,8–5,4) | 3,1 (2,2–6,3) | >0,05 | – |
Фибриноген (г/л) | 4,7 (3,2–6,3) | 4,8 (3,8–5,5) | >0,05 | – |
Индекс коморбидности Чарлсона (баллы) | 2 (1–3) | 2 (1–3) | >0,05 | – |
Оценка по шкале 4С Mortality (баллы) | 4,0 (3,0–8,0) | 5,5 (4,0–9,0) | >0,05 | – |
Примечание. ИМТ — индекс массы тела; ГКС — глюкокортикоиды; МКА — моноклональные антитела; СРБ — С-реактивный белок. * статистически значимые различия.
Note: ИМТ — body mass index; ГКС — glucocorticoids; МКА — monoclonal antibodies; CРБ — C-reactive protein. * statistically significant differences.
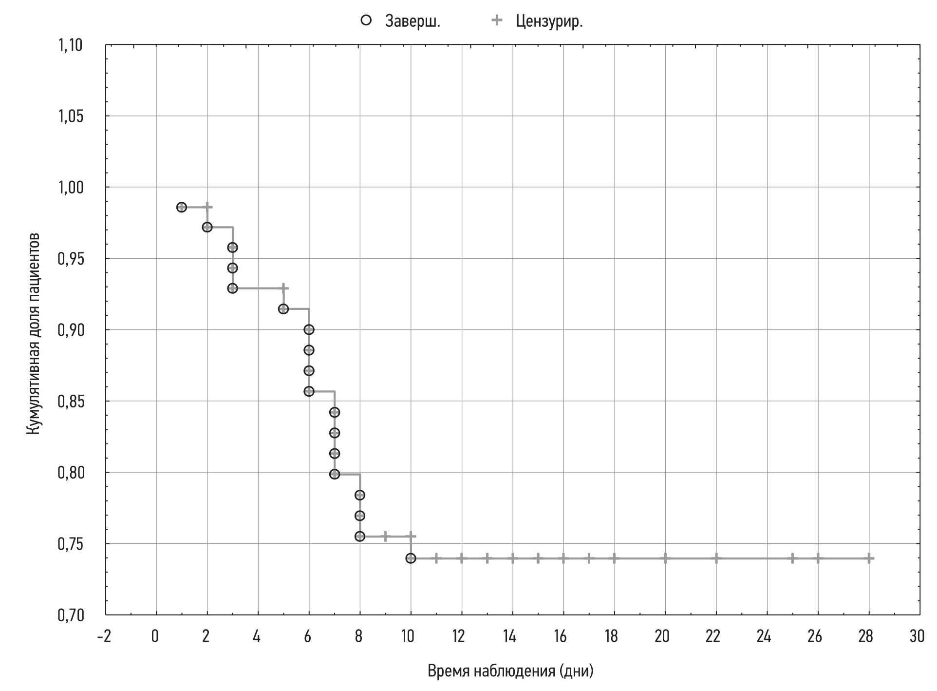
Низкая эффективность ответа на терапию ГКС как причина эскалации противовоспалительной терапии МКА наблюдалась в среднем на 5,5 (3–6-е) сутки от начала применения ГКС (рис. 1). В первые 5 суток лечения МКА были назначены 6 (33%) пациентам, остальные 12 (66%) получали МКА после 5 суток.
Рис. 1. Сроки назначения моноклональных антител к интерлейкину-6 или его рецептору от начала применения глюкокортикоидов (обозначены точками) (n=18).
Основные результаты исследования
Для прогнозирования эффективности применения противовоспалительной терапии ГКС использовался логистический регрессионный анализ. Логистическая регрессия — классический инструмент для решения задачи регрессии и классификации. ROC-анализ — аппарат для анализа качества моделей. Оба алгоритма широко используются для построения моделей в медицине и проведения клинических исследований.
В качестве предикторов рассматривались показатели, по которым были выявлены достоверные различия в изучаемых группах на момент перед назначением ГКС: количество лимфоцитов, тромбоцитов и температура тела (табл. 2).
χ2=19,176 при трёх степенях свободы и P=0,00025 для модели в целом означают наличие связи между переменными: количеством лимфоцитов, тромбоцитов, температурой тела и результатом применения ГКС.
Таблица 3. Результаты взаимосвязи между эффективностью терапии глюкокортикоидами и факторами риска
Table 3. Results of the relationship between the effectiveness of glucocorticosteroids therapy and risk factors
Фактор риска | Регрессионный коэффициент B | SD | χ2 Вальда | P | ОШ |
Количество лимфоцитов | 1,19 | 0,595 | 4,031 | 0,045 | 3,303 |
Количество тромбоцитов | 0,014 | 0,007 | 4,030 | 0,045 | 1,014 |
Температура | –1,118 | 0,512 | 5,346 | 0,021 | 0,306 |
B0 | 42,65 | 19,591 | 4,739 | 0,029 | 3,331 |
Примечание. ОШ — отношение шансов.
Note: ОШ — odds ratio.
Согласно данным табл. 3, каждый из включённых в исследование факторов независимо связан (P <0,05) с исходом изучаемого события эффективностью применения ГКС. Для расчёта уравнения логистической регрессии использована формула (1):
Р = 1 / (1 + e–(b0 + b1 × X1 + b2 × X2 + b3 × X3)), (1)
где Р — значение прогноза эффекта применения ГКС гормонов у пациентов со среднетяжёлым течением COVID-19; e — константа, основание натурального логарифма (2,72), b0, b1, b2, b3 — рассчитанные регрессионные коэффициенты независимых признаков; Х1 — абсолютное количество лимфоцитов (×109/л); Х2 — количество тромбоцитов (×109/л); Х3 — температура тела (℃).
После вычисления регрессионных коэффициентов получено уравнение (2) логистической регрессии для вычисления вероятности эффективности терапии ГКС у пациентов со среднетяжёлым течением COVID-19:
Р = 1 / (1 + e–(–42,65 + 1,19 × X1 + 0,014 × X2 – 1,183 × X3)). (2)
Эту модель можно использовать для задачи оценки вероятности исхода события, так как предварительно были определены стандартные коэффициенты регрессии. Модель является статистически значимой (P=0,00025) и имеет точность 77,46%. Чувствительность модели составила 90,6%, а специфичность — 38,9% (табл. 4).
Таблица 4. Классификационная таблица для информации по модели
Table 4. Classification table for model information
Результат исследования | Предсказанное значение | Итого | Совпадение, % | |
Неэффективность глюкокортикоидов | Эффективность глюкокортикоидов | |||
Неэффективность глюкокортикоидов | 7 | 11 | 18 | 38,9 |
Эффективность глюкокортикоидов | 5 | 48 | 53 | 90,6 |
Для проведения оценки качества построенной математической модели использовали ROC-кривую (Receiver Operating Characteristic). ROC-кривая математической модели представлена на рис. 2. Качество построенной модели оценивалось по площади под кривой (табл. 5) AUC (Area Under ROC). Площадь под ROC-кривой составила 0,81±0,05 (95% ДИ 0,703–0,920). Качество моделей, имеющих площадь по ROC-кривой в диапазоне 0,8–0,9, расценивается как очень хорошее [19, 20]. Таким образом, можно говорить об очень хорошем качестве построенной модели.
Рис. 2. ROC-кривая оценки качества логистической регрессионной модели прогноза эффективности терапии глюкокортикоидами
Таблица 5. Результаты ROC-анализа
Table 5. ROC-analysis results
Чувствительность, % | Специфичность, % | Площадь под кривой | Оптимальный порог отсечения | Стандартная ошибка | Асимптоматический 95% доверительный интервал |
81,1 | 72,2 | 0,811 | 0,697 | 0,055 | 0,703–0,920 |
По данным ROC-анализа была определена оптимальная точка отсечения — 0,697. Данной точке соответствуют показатель чувствительности, равный 81,1%, и показатель специфичности, равный 72,2%. Таким образом, можно говорить о том, что нижний порог вероятности успешного применения ГКС равен 0,697. При данном показателе достигаются максимальная чувствительность и специфичность модели.
При введении в уравнение значений показателей факторов риска конкретного пациента можно рассчитать значение P (вероятность эффективного применения ГКС), которое может принимать значение от 0 до 1. При P ≥0,697 вероятность эффективного применения ГКС определяют как высокую, а при P <0,697 — как низкую.
Дополнительные результаты исследования
У пациентов (n=18), которым противовоспалительная терапия ГКС не оказала значимого эффекта и не привела к стабилизации состояния, в среднем через 5,5 (3–6) дней от начала терапии ГКС наблюдалась негативная динамика в виде нарастания уровня маркеров воспаления (СРБ) и усиления выраженности респираторных нарушений. При сравнении показателей этой группы до назначения ГКС и до начала применения МКА выявлены достоверные различия по всем изученным параметрам, за исключением количества лимфоцитов (табл. 6). Наличие достоверных различий по уровню СРБ [61,5 (33,9–80,9) против 83 (44,5–121,9) г/л], оценке по шкале NEWS (повышение показателя в 2,5 раза), оценке по шкале 4С Mortality (повышение показателя в 1,6 раза), повышению индекса соотношения нейтрофилов и лимфоцитов в крови (ИСНЛ) (в 2,7 раза), усугублению респираторных нарушений (снижение SaО2 и увеличение частоты дыхательных движений) являлось показанием для эскалации противовоспалительной терапии с помощью МКА к ИЛ-6, что указывало на недостаточную эффективность ГКС в плане стабилизации состояния.
Таблица 6. Лабораторные показатели госпитализированных пациентов, получавших последовательно глюкокортикоиды и моноклональные антитела (группа 2) перед их назначением
Table 6. Laboratory indicators of hospitalized patients receiving sequentially GKS and MKA (Group 2) before their appointment
Показатель | Перед назначением ГКС (n=18) | Перед назначением МКА (n=18) | P |
Сутки болезни, на которые назначен ГКС/МКА | 7 (5–8) | 11 (9–13) | <0,05* |
Лейкоциты (×109/л) | 5,1 (4,2–6,8) | 10,1 (7,9–12,0) | <0,05 |
Лимфоциты (×109/л) | 1,0 (0,7–1,3) | 1,0 (0,7–1,2) | >0,05* |
Нейтрофилы (×109/л) | 3,4 (3,9–4,4) | 7,6 (6,4–10,2) | <0,05* |
Тромбоциты (×109/л) | 138,5 (120–160) | 200 (149–245) | <0,05* |
СРБ (мг/л) | 61,5 (33,9–80,9) | 83 (44,5–121,9) | <0,05* |
Температура (℃) | 38,5 (38,5–39,0) | 37,7 (37,1–38,1) | <0,05* |
Оценка по шкале NEWS (баллы) | 2 (1–2) | 5 (3–5) | <0,05* |
SaО2 без инсуфляции кислорода | 95 (93–96) | 90 (88–93) | <0,05* |
Частота дыхательных движений в мин | 18 (18–20) | 24 (20–24) | <0,05* |
Индекс соотношения нейтрофилов к лимфоцитам | 3,1 (2,2–6,3) | 8,6 (5,3–12,8) | <0,05* |
Фибриноген (г/л) | 4,8 (3,8–5,5) | 5,2 (3,9–6,4) | >0,05 |
Оценка по шкале 4С Mortality (баллы) | 5,5 (4,0–9,0) | 9,0 (6,0–13,0) | <0,05* |
Примечание. ГКС — глюкокортикоиды; МКА — моноклональные антитела; СРБ — С-реактивный белок. * статистически значимые различия.
Note: ГКС — glucocorticoids; МКА — monoclonal antibodies; СЗБ — C-reactive protein. * statistically significant differences.
Нежелательные явления
Нежелательных явлений в исследовании зарегистрировано не было.
ОБСУЖДЕНИЕ
Резюме основного результата исследования
Прогнозирование эффективности планируемой терапии ГКС у пациентов со среднетяжёлым течением COVID-19 по показателям количества лимфоцитов, тромбоцитов и уровню температуры тела является общедоступным способом, который позволяет своевременно оптимизировать схему проведения противовоспалительной терапии.
Обсуждение основного результата исследования
При изучении пациентов со среднетяжёлым течением COVID-19 было показано наличие достоверных различий по показателям количества тромбоцитов, лимфоцитов и выраженности лихорадки у пациентов с эффективным и неэффективным применением ГКС. Доказано, что лимфопения, тромбоцитопения и фебрильная лихорадка отмечаются уже при госпитализации пациентов в относительно ранние сроки заболевания (7,9±3,0 сутки). Наличие этой триады связанно с низкой вероятностью позитивного эффекта ГКС на течение заболевания и позволяет использовать эти показатели в качестве прогностических признаков. Однако, в отличие от предшествующих, настоящее исследование показало, что исходный уровень СРБ, ИСНЛ, возраст изученной когорты, а также наличие сопутствующих заболеваний достоверно не оказывали влияния на эффект применения ГКС и поэтому в прогностическую модель не были включены [9, 10, 21].
Одной из первых моделей для прогнозирования летального исхода у пациентов с вирусной пневмонией является модель MuLBSTA [22]. Данная прогностическая модель позволяет проводить оценку наступления летального исхода, используя такие показатели, как данные КТ ОГК, абсолютное количество лимфоцитов, наличие бактериальной инфекции, наличие факта курения, артериальная гипертензия и возраст. Однако следует отметить, что в исследование были включены пациенты с вирусной пневмонией, вызванной различными респираторными вирусами (вирус гриппа, аденовирус, коронавирус, РС-вирус и др.).
Результаты одноцентрового ретроспективного когортного исследования продемонстрировали, что повышенная концентрация ИЛ-6, СРБ и количества лейкоцитов, снижение абсолютного количества лимфоцитов, а также степень тяжести поражения лёгочной ткани по данным КТ ОГК являются факторами риска госпитализации в отделение реанимации и интенсивной терапии [23]. Построенная на основе этих показателей математическая модель имела высокий показатель точности — 80%, чувствительности — 72% и специфичности — 86%. Полученная нами математическая модель сопоставима по показателям точности, чувствительности и специфичности. Однако при сходстве с результатами этого исследования следует отметить, что в качестве факторов риска в построенной нами модели используются показатели абсолютного количества лимфоцитов, тромбоцитов и уровень температуры тела, зарегистрированные в период выбора тактики лечения при госпитализации или появлении данных о недостаточной эффективности применения, т.е. в конкретные временные рамки. По другим показателям (концентрация СРБ, количество лейкоцитов, тяжесть по данным КТ ОГК) в изучаемых нами группах достоверных различий получено не было, что не позволило включить их в качестве факторов риска в математическую модель.
Результаты другого исследования, посвященного прогнозированию риска развития тяжёлого течения COVID-19, продемонстрировали, что наиболее значимыми показателями, которые используются в модели, являются оценка тяжести по шкале APACHE II, количество лейкоцитов и лимфоцитов, время от появления симптомов до поступления в стационар и SaO2 [24]. Построенная модель представила высокие показатели точности, чувствительности и специфичности — 92, 88 и 92,7% соответственно. Необходимо отметить, что в изученной нами когорте пациентов со среднетяжёлым течением инфекции такие показатели, как количество баллов по шкале APACHE II, применяется только в исследовательских целях, но не в рутинной практике, а существенное снижение показателя SaO2 наблюдалось при появлении тяжёлой дыхательной недостаточности, что также не было характерно для изученной когорты пациентов. При построении нашей модели был также проведён анализ всех указанных выше показателей, однако только абсолютное количество лимфоцитов имело прогностическую ценность. При сопоставлении дизайна исследований, несмотря на изучение в качестве конечных точек разных исходов, изучаемые нами группы на момент сравнения имели схожие показатели течения инфекции (среднетяжёлое).
Анализ 26 показателей, включающих демографические данные, сопутствующую патологию, показатели клинического и биохимического анализа крови, продемонстрировал, что только ИСЛН имел важное прогностическое значение [25]. Пороговый уровень ИСНЛ высокой вероятности развития критического состояния составил ≥3,13. При сравнении модели с использованием показателя ИСНЛ определены более высокие, чем у моделей MuLBSTA и CURB-65, показатели площади под ROC-кривой (0,867), чувствительности (66,7%) и специфичности (97,8%). Также показано, что интеграция показателя ИНСЛ в уже существующие прогностические модели MuLBSTA и CURB-65 повышает качество прогноза. Изученная нами когорта пациентов сопоставима по степени тяжести с когортой пациентов в указанном исследовании (состояние 72,1% пациентов расценено как лёгкое или среднетяжёлое), достоверной разницы в изучаемых группах по показателю ИСНЛ (3,0 против 3,1) также получено не было. Однако в группе пациентов с низкой эффективностью применения ГКС в среднем через 5,5 дня регистрировалось достоверное повышение ИСНО (3,1 против 8,6, p <0,05), что указывает на существенную важность не только одномоментной, но и динамической оценки показателей воспаления на фоне проводимой патогенетической терапии.
Таким образом, на момент проведения нашего исследования уже были предложены различные модели, позволяющие прогнозировать тяжесть течения COVID-19 и риски развития неблагоприятного исхода. Имелись данные, показывающие, что тромбоцитопения и степень её выраженности связаны с тяжестью состояния и высокой вероятностью неблагоприятного исхода [21, 26]. Несмотря на это, показатель количества тромбоцитов не нашёл широкого применения в качестве предиктора для использования в математических моделях прогноза. Показатель уровня температуры тела в качестве предиктора неблагоприятного исхода также не нашёл практического применения в моделях ввиду того, что данные исследований не позволяли сделать однозначный вывод о наличии связи между лихорадкой и показателем летальности [27].
Особенностью нашего исследования является то, что представленная модель построена на основании данных пациентов, которые на момент изучения расценивались как среднетяжёлые согласно ВМР, а в качестве неблагоприятного исхода рассматривали не показатель летальности, а неэффективность терапии ГКС и необходимость последующей эскалации противовоспалительной терапии. После анализа демографических показателей, сопутствующей патологии, клинических, лабораторных и инструментальных данных были выявлены и включены в прогностическую модель показатели, достоверно связанные с низким ответом на противовоспалительную терапию ГКС. Примечательно, что такие показатели, как уровень СРБ, ИСНЛ, возраст пациентов и наличие у них сопутствующих заболеваний, не показали своей прогностической значимости на относительно ранних сроках заболевания и не были использованы в качестве предикторов при построении модели. Однако у пациентов, на которых противовоспалительная терапия ГКС не оказала значимого эффекта, в динамике наблюдалось нарастание уровня СРБ, ИСНЛ, тяжести состояния по шкалам NEWS и 4C Mortality, усиление выраженности респираторных нарушений. С учётом этого важно проводить не только одномоментную, но и динамическую оценку показателей воспаления на фоне проводимой патогенетической терапии.
Ограничения исследования
Проведённое исследование не является проспективным контролируемым рандомизированным исследованием для оценки эффективности применения ГКС у пациентов с COVID-19. При его планировании и проведении размер выборки для достижения требуемой статистической мощности результатов не рассчитывался. Поэтому, несмотря на получение достоверных различий показателей между исследуемыми группами, объективности и обоснованности полученных результатов, для подтверждения этих данных необходимо проведение проспективного рандомизированного исследования.
ЗАКЛЮЧЕНИЕ
Разработана математическая модель прогноза эффективности терапии ГКС по актуальным данным количества лимфоцитов, тромбоцитов и уровню температуры тела. Математическая модель адекватна, имеет высокие показатели чувствительности и специфичности и может применяться в практической работе для прогнозирования эффективности применения ГКС у пациентов со среднетяжёлым течением COVID-19.
ДОПОЛНИТЕЛЬНО
Источник финансирования. Авторы заявляют об отсутствии внешнего финансирования при проведении исследования.
Конфликт интересов. Авторы декларируют отсутствие явных и потенциальных конфликтов интересов, связанных с публикацией настоящей статьи.
Вклад авторов. Все авторы подтверждают соответствие своего авторства международным критериям ICMJE (все авторы внесли существенный вклад в разработку концепции, проведение исследования и подготовку статьи, прочли и одобрили финальную версию перед публикацией). Наибольший вклад в работу распределён следующим образом: Д.О. Ефремов — сбор данных об участниках исследования, анализ и интерпретация используемых данных, проведение сравнительного анализа, обобщение результатов исследования, формулировка выводов, интерпретация результатов исследования, сбор литературных данных, анализ и обобщение информации, полученных из различных источников; В.Б. Белобородов — формирование концепции и дизайна исследования, формулировка выводов и интерпретация результатов исследования, критический пересмотр статьи с внесением ценных замечаний интеллектуального содержания.
ADDITIONAL INFORMATION
Funding source. This study was not supported by any external sources of funding.
Competing interests. The authors declare that they have no competing interests.
Authors’ contribution. All authors made a substantial contribution to the conception of the work, acquisition, analysis, interpretation of data for the work, drafting and revising the work, final approval of the version to be published and agree to be accountable for all aspects of the work. D.O. Efremov — collecting data on the participants in the study, analyzing and interpreting the data used, conducting a comparative analysis, summarizing the results of the study, formulating conclusions, interpreting the results of the study, collecting literature data, analyzing and summarizing information obtained from various sources; V.B. Beloborodov — formation of the concept and design of the study, formulation of conclusions and interpretation of the results of the study, critical revision of the article with the introduction of valuable comments of intellectual content.
About the authors
Dmitry O. Efremov
Branch No. 1 of the National Medical Research Center for High Medical Technologies
Email: Efremov-d24@mail.ru
ORCID iD: 0000-0001-7889-6052
SPIN-code: 7115-2713
начальник инфекционного центра филиала №1 ФГБУ «Национальный медицинский исследовательский центр высоких медицинских технологий имени А. А. Вишневского» Минобороны России
Russian Federation, Krasnogorsk, Moscow Region, 143409Vladimir B. Beloborodov
Russian Medical Academy of Continuous Professional Education
Author for correspondence.
Email: belvb1070@mail.ru
ORCID iD: 0000-0002-0544-4167
SPIN-code: 4233-2046
MD, Dr. Sci. (Med.), Professor
Russian Federation, MoscowReferences
- Drapkina OM, Maev IV, Bakulin IG, et al. Interim guidelines: Diseases of the digestive organs in the context of a new coronavirus infection pandemic (COVID-19). Profilakticheskaya Meditsina. 2020;23(3):2120–2152. (In Russ). doi: 10.17116/profmed202023032120
- Fang J, Wu Q, Ye F, et al. Network-Based Identification and Experimental Validation of Drug Candidates Toward SARS-CoV-2 via Targeting Virus-Host Interactome. Front Genet. 2021;12:728960. doi: 10.3389/fgene.2021.728960
- Aprajita, Choudhary M. Design, synthesis and characterization of novel Ni(II) and Cu(II) complexes as antivirus drug candidates against SARS-CoV-2 and HIV virus. J Mol Struct. 2022;1263:133114. doi: 10.1016/j.molstruc.2022.133114
- Ren PX, Shang WJ, Yin WC, et al. A multi-targeting drug design strategy for identifying potent anti-SARS-CoV-2 inhibitors. Acta Pharmacol Sin. 2022;43(2):483–493. doi: 10.1038/s41401-021-00668-7
- Horby P, Lim WS, Emberson JR, et al.; RECOVERY Collaborative Group. Dexamethasone in Hospitalized Patients with Covid-19. N Engl J Med. 2021;384(8):693–704. doi: 10.1056/NEJMoa2021436
- Li Y, Zhou X, Li T, et al. Corticosteroid prevents COVID-19 progression within its therapeutic window: a multicentre, proof-of-concept, observational study. Emerg Microbes Infect. 2020;9(1): 1869–1877. doi: 10.1080/22221751.2020.1807885
- Fadel R, Morrison AR, Vahia A, et al.; Henry Ford COVID-19 Management Task Force. Early Short-Course Corticosteroids in Hospitalized Patients With COVID-19. Clin Infect Dis. 2020;71(16): 2114–2120. doi: 10.1093/cid/ciaa601
- Chalmers JD, Crichton ML, Goeminne PC, et al. Management of hospitalised adults with coronavirus disease 2019 (COVID-19): a European Respiratory Society living guideline. Eur Respir J. 2021; 57(4):2100048. doi: 10.1183/13993003.00048-2021. Erratum in: Eur Respir J. 2022;60(2).
- Huang I, Pranata R, Lim MA, et al. C-reactive protein, procalcitonin, D-dimer, and ferritin in severe coronavirus disease-2019: a meta-analysis. Ther Adv Respir Dis. 2020;14:1753466620937175. doi: 10.1177/1753466620937175
- Choron RL, Butts CA, Bargoud C, et al. Fever in the ICU: A Predictor of Mortality in Mechanically Ventilated COVID-19 Patients. J Intensive Care Med. 2021;36(4):484–493. doi: 10.1177/0885066620979622
- Da Rosa Mesquita R, Francelino Silva Junior LC, Santos Santana FM, et al. Clinical manifestations of COVID-19 in the general population: systematic review. Wien Klin Wochenschr. 2021; 133(7-8):377–382. doi: 10.1007/s00508-020-01760-4
- He X, Cheng X, Feng X, et al. Clinical Symptom Differences Between Mild and Severe COVID-19 Patients in China: A Meta-Analysis. Front Public Health. 2021;8:561264. doi: 10.3389/fpubh.2020.561264
- Xu P, Zhou Q, Xu J. Mechanism of thrombocytopenia in COVID-19 patients. Ann Hematol. 2020;99(6):1205–1208. doi: 10.1007/s00277-020-04019-0
- Huang I, Pranata R. Lymphopenia in severe coronavirus disease-2019 (COVID-19): systematic review and meta-analysis. J Intensive Care. 2020;8:36. doi: 10.1186/s40560-020-00453-4
- Chew NW, Ngiam JN, Tham SM, et al. Fever as a predictor of adverse outcomes in COVID-19. QJM. 2021;114(10):706–714. doi: 10.1093/qjmed/hcab023
- Sterne JAC, Murthy S, Diaz JV, et al.; WHO Rapid Evidence Appraisal for COVID-19 Therapies (REACT) Working Group. Association Between Administration of Systemic Corticosteroids and Mortality Among Critically Ill Patients With COVID-19: A Meta-analysis. JAMA. 2020;324(13):1330–1341. doi: 10.1001/jama.2020.17023
- Avdeev SN, Adamyan LV, Alekseeva EI, et al. Prevention, diagnosis and treatment of novel coronavirus infection (COVID-19): interim guidelines. Version 8 (09/03/2020). Moscow; 2020. 227 p. (In Russ).
- Avdeev SN, Adamyan LV, Alekseeva EI, et al. Prevention, diagnosis and treatment of novel coronavirus infection (COVID-19): interim guidelines. Version 8 (10/26/2020). Moscow; 2020. 236 p. (In Russ).
- Trukhacheva NV. Mathematical statistics in biomedical research using the Statistica package. Moscow: GEOTAR-Media; 2013. 384 p. (In Russ).
- Grigoryev SG, Lobzin YuV, Skripchenko NV. the Role and place of logistic regression and ROC analysis in solving medical diagnostic task. Journal Infectology. 2016;8(4):36–45. (In Russ). doi: 10.22625/2072-6732-2016-8-4-36-45
- Li J, He X, Yuan Yuan, et al. Meta-analysis investigating the relationship between clinical features, outcomes, and severity of severe acute respiratory syndrome coronavirus 2 (SARS-CoV-2) pneumonia. Am J Infect Control. 2021;49(1):82–89. doi: 10.1016/j.ajic.2020.06.008
- Guo L, Wei D, Zhang X, et al. Clinical Features Predicting Mortality Risk in Patients With Viral Pneumonia: The MuLBSTA Score. Front Microbiol. 2019;10:2752. doi: 10.3389/fmicb.2019.02752. Erratum in: Front Microbiol. 2020 Jun 09;11:1304.
- Burian E, Jungmann F, Kaissis GA, et al. Intensive Care Risk Estimation in COVID-19 Pneumonia Based on Clinical and Imaging Parameters: Experiences from the Munich Cohort. J Clin Med. 2020;9(5):1514. doi: 10.3390/jcm9051514
- Assaf D, Gutman Y, Neuman Y, et al. Utilization of machine-learning models to accurately predict the risk for critical COVID-19. Intern Emerg Med. 2020;15(8):1435–1443. doi: 10.1007/s11739-020-02475-0
- Liu J, Liu Y, Xiang P, et al. Neutrophil-to-lymphocyte ratio predicts critical illness patients with 2019 coronavirus disease in the early stage. J Transl Med. 2020;18(1):206. doi: 10.1186/s12967-020-02374-0
- Yang X, Yang Q, Wang Y, et al. Thrombocytopenia and its association with mortality in patients with COVID-19. J Thromb Haemost. 2020;18(6):1469–1472. doi: 10.1111/jth.14848
- Wynants L, Van Calster B, Collins GS, et al. Prediction models for diagnosis and prognosis of covid-19: systematic review and critical appraisal. BMJ. 2020;369:m1328. doi: 10.1136/bmj.m1328. Update in: BMJ. 2021;372:n236. Erratum in: BMJ. 2020;369:m2204.
Supplementary files




