Predicting COVID-19 outcomes in patients at advanced stages of HIV infection: a model-based approach
- Authors: Tsygankova A.E.1, Chulanov V.P.1, Gerasimov A.N.2, Volchkova E.V.1, Privalenko A.A.2, Bakhtina V.A.3, Khabudaev V.A.4, Baimukhambetova D.V.1
-
Affiliations:
- I.M. Sechenov First Moscow State Medical University (Sechenov University)
- Central Research Institute of Epidemiology
- Specialized Clinical Infectious Hospital
- Irkutsk Regional Clinical Hospital
- Issue: Vol 29, No 1 (2024)
- Pages: 5-17
- Section: Original study articles
- Submitted: 20.02.2024
- Accepted: 11.03.2024
- Published: 05.03.2024
- URL: https://rjeid.com/1560-9529/article/view/627198
- DOI: https://doi.org/10.17816/EID627198
- ID: 627198
Cite item
Abstract
BACKGROUND: Today, clinicians and their decisions extensively rely on specific treatment algorithms. These algorithms include prognostic models to identify high risk patients requiring hospital admission and clinical monitoring. This study suggests a prognostic model for forecasting COVID-19 outcomes in patients with advanced HIV infection, considering the high risk of unfavorable outcomes and the need for a specialized approach.
AIM: To develop a prognostic model that combines predictors of unfavorable COVID-19 outcomes in patients with advanced HIV infection.
MATERIALS AND METHODS: The study was based on 500 medical records of patients with advanced HIV infection admitted for confirmed COVID-19 between March 1, 2020, and December 31, 2022, and inpatient treatment at the Infectious Diseases Hospital in Moscow.
RESULTS: All 500 patients were evaluated for 167 predictive markers for unfavorable COVID-19 outcomes, outlining 50 indicators that significantly varied across the subgroups of patients with both advanced HIV infection and COVID-19 depending on the presence of favorable or poor outcomes. Oxygen therapy was the most significant factor showing a strong correlation with poor outcomes in patients with advanced HIV infection and COVID-19. Subsequently, predictors were selected stepwise to enhance the predictive accuracy of the resulting model by adding more factors.
The resulting model included seven factors: oxygen therapy requirements, CD4+ count under 50 cells/μL; manifested CMV infection with lung damage; elevated levels of lactate dehydrogenase, urea, and fibrinogen; and the presence of unspecified encephalitis. Using the available data in the calculations, a prognostic scenario and a receiver operating characteristic (ROC) curve were created to assess the practical significance of the proposed prognostic model. The area under the ROC curve was 90.9%, confirming the prediction accuracy and overall practical significance of the model.
CONCLUSIONS: The proposed prognostic model enables the assessment of potential outcomes and planning of adequate therapies in patients with HIV and COVID-19 co-infection admitted to hospitals at advanced stages of the disease.
Keywords
Full Text
BACKGROUND
Healthcare providers taking care of patients with COVID-19 in heavy workload settings, with physicians overloaded by large patient volumes and/or performing tasks beyond their conventional duties, are in dire need of supportive decision-making tools. By integrating multiple clinical variables, a simple web-based tool for patient assessment can facilitate making clinical decisions. A combination of adverse outcome factors can enhance the predictive value; that is, the higher the predictive value of the model, the more likely it would correctly identify patients in need of hospital admission and meticulous clinical monitoring.
The National Early Warning Score (NEWS) scale (NEWS2), which was developed in 2012 in the UK and updated in 2017, allows the early detection of deterioration in patients with acute respiratory illness [1]. The NEWS/NEWS2 scale is an assessment system based on routine physiological parameters that are easily and quickly obtained at the patient’s bedside. Each parameter is assigned a score, where 0 is considered normal, and simple addition yields a total score ranging from 0 to 23. A score of ≥5 is a key threshold value for hospitalization, whereas patients scoring ≥7 are potentially at high risk of severe disease and poor outcomes. Considering a set of parameters (e.g., temperature, oxygen saturation, and oxygen supplementation requirements) associated with COVID-19 progression [2, 3], the Royal College of Physicians and the Swiss Society for Intensive Care Medicine advocated for the introduction of NEWS2 in the initial evaluation of patients with COVID-19. The scale was later adopted by healthcare providers in many countries, including the Russian Federation [4].
Later, over 700 prognostic models have been designed and validated to predict the disease severity, adverse outcomes, and time until recovery of COVID-19 [5].
However, for patients with HIV and COVID-19 coinfection, such a dedicated prognostic model is still not developed despite its paramount clinical relevance. Such a tool could assist clinicians in prioritizing patients by identifying those at high risk of adverse outcomes that require ICU admission for rapid assessment and dedicated treatment according to the patient’s profile.
Aim of the study
The study aimed to develop a prognostic model that combines the predictors of unfavorable COVID-19 outcomes in patients with advanced HIV infection.
Study facility
The study covered the period from 2020 to 2022 and was conducted at the Infectious Diseases Hospital No. 2, a COVID-19 referral hospital in Moscow.
Study timespan
The study analyzed 500 medical records of patients with advanced HIV admitted for confirmed COVID-19 between March 1, 2020, and December 31, 2022, for inpatient treatment at the Infectious Diseases Hospital No. 2 in Moscow.
Study procedure
Medical records of patients with HIV and COVID-19 coinfection were selected from the archive based on the inclusion and exclusion criteria. Clinical and laboratory records of patients with advanced HIV and COVID-19 coinfection were evaluated during their hospital stay to identify the risk factors for adverse outcomes. The derived data were statistically processed.
MATERIALS AND METHODS
The study analyzed 500 medical records of randomly selected patients. Male and female patients aged >18 years with advanced HIV infection (stages 4A, 4B, and 4B) and confirmed moderate-to-severe COVID-19 who received inpatient treatment in 2020–2022 at the Infectious Diseases Hospital in Moscow were enrolled. The diagnosis of HIV was based on the clinical and epidemiologic profile of the patients and further confirmed by Western blot analysis of cell-associated HIV proteins (Profiblot 48 Tecan, AutoBlot 3000).
HIV staging was based on Pokrovsky’s clinical classification of HIV infection introduced in 2006. COVID-19 was confirmed by polymerase chain reaction (PCR) of nasopharyngeal and oropharyngeal swabs and COVID-19-specific lung infiltration by chest computed tomography (CT). CT was performed using Toshiba Aquilion 64 CT scanner with a slice thickness of 0.3 mm in the Infectious Diseases Hospital No. 2.
The exclusion criteria were as follows: tuberculosis at any site, pregnancy, terminal renal or hepatic failure, and other severe conditions that could potentially challenge the study results. The study design is shown in Fig. 1.
Fig. 1. Study design.
STUDY ENDPOINTS
Main study endpoint
The primary outcome of this study was in-hospital death.
Study of subgroups
Demographic, clinical, laboratory, and instrumental data were compared between the surviving group and the deceased group.
Endpoint registration tools
The endpoint was based on the patient discharge summary or postmortem report in the patient medical records.
Ethical review
The study was approved by the Local Ethical Committee of the I.M. Sechenov First Moscow State Medical University of the Ministry of Health of the Russian Federation (Sechenov University), Protocol No. 22-21 dated December 9, 2021.
Statistical analysis
In the absence of direct analog input, no prior sample size calculation was required. Microsoft Office Excel 2016 spreadsheets were used for data accumulation, adjustment, input data streamlining, and visual representation of obtained results. IBM SPSS Statistics version 22.0 was used for statistical analysis. Frequencies with confidence intervals were calculated for categorical variables. Distribution functions and statistical parameters were calculated for true numerical variables. The chi-squared test was used to determine the independence of the difference between the frequencies (Fisher’s exact test was used in 2×2 contingency tables). The reliability of the difference between distribution functions was determined using the Mann–Whitney and Kolmogorov–Smirnov nonparametric tests, and the reliability of the difference between averages was determined by variance analysis. Correlation analysis was performed to identify statistical correlations between true numerical indices.
Multivariate analysis was used to predict individual risk of unfavorable outcomes. Prediction accuracy and practical significance were analyzed using receiver operating characteristic (ROC) curves. The applicability of parametric statistical methods was verified by calculating the coefficients of skewness and excess. At p <0.05, differences were considered statistically reliable (statistically significant).
RESULTS
Study subjects (participants)
A total of 500 patients (female = 170; male = 330) were enrolled. The age of the patients ranged from 21 to 76 years, with a median age of 43 years. In both male and female patients, patients aged 40–49 years were dominant. No significant differences in sex and age were observed between the surviving group and the deceased group.
Table 1. Most crucial parameters associated with death in patients with COVID-19 and advanced HIV coinfection
Identified risk factor | Risk factor vs. death correlation coefficient* | p-value** |
1. High-flow oxygen using AirVo or Aventa device | 0.373 | <0.0001 |
2. Artificial respiration | 0.369 | <0.0001 |
3. Oxygen therapy via an oxygen mask | 0.359 | <0.0001 |
4. NEWS scale | 0.341 | <0.0001 |
5. HIV stage | 0.331 | <0.0001 |
6. SpO2 at rest in room air | -0.331 | <0.0001 |
7. Pneumocystis pneumonia*** | 0.316 | <0.0001 |
8. CD 4+ <50, cells/µL | 0.316 | <0.0001 |
9. Lactate dehydrogenase, U/L | 0.315 | <0.0001 |
10. Total protein, g/L | -0.314 | <0.0001 |
11. Need of oxygen therapy | 0.313 | <0.0001 |
12. Active CMV infection with lung involvement**** | 0.297 | <0.0001 |
13. Abnormally high lactate dehydrogenase levels, U/L | 0.283 | <0.0001 |
14. Lymphocytes, % | -0.283 | <0.0001 |
15. ICU stay | 0.258 | <0.0001 |
16. Neutrophils, % | 0.255 | <0.0001 |
17. Percentage of lung lesions by chest CT (CT1–CT4) | 0.251 | <0.0001 |
18. Newly diagnosed HIV | 0.246 | <0.0001 |
19. Respiratory rate, bpm | 0.243 | <0.0001 |
20. Absolute lymphocyte count, 109/L | -0.240 | <0.0001 |
21. Duration of onset to hospital admission in days | 0.239 | <0.0001 |
22. Unspecified encephalitis | 0.221 | <0.0001 |
23. Absolute lymphocyte count, 109/L < 1 | 0.220 | <0.0001 |
24. CD 4+, % | -0.211 | <0.0001 |
25. CD 4+, cell/μL | -0.208 | <0.0001 |
26. Body mass deficiency <10% | 0.206 | <0.0001 |
27. Ferritin quantitative test result >600 ng/mL | 0.204 | 0.001 |
28. Urea, g/L | 0.201 | <0.0001 |
29. Years lived with HIV since diagnosis | -0.195 | <0.0001 |
30. Admitted to HIV nonreferral hospital | 0.194 | <0.0001 |
31. Oropharyngeal candidiasis | 0.192 | <0.0001 |
32. D-dimer, ng/mL | 0.189 | <0.0001 |
33. LogV of HIV in the plasma | 0.182 | <0.0001 |
34. CD 8+, cells/μL | -0.181 | <0.0001 |
35. Bacterial pneumonia | 0.178 | <0.0001 |
36. HIV viral load, copies/mL | 0.176 | 0.003 |
37. HIV viral load below the detectable level | -0.172 | 0.003 |
38. Gastrointestinal, respiratory, and urogenital candidiasis | 0.164 | <0.0001 |
39. Immunoregulatory index | -0.162 | <0.0001 |
40. ART | -0.155 | 0.001 |
41. Kaposi’s sarcoma | 0.140 | 0.002 |
42. Diastolic BP | -0.140 | 0.002 |
43. Hemoglobin, g/L | -0.139 | 0.002 |
44. Active CMV infection | 0.130 | 0.004 |
45. Systolic BP | -0.129 | 0.004 |
46. Fungal pneumonia | 0.121 | 0.007 |
47. Age | 0.118 | 0.008 |
48. Positive procalcitonin test | 0.117 | 0.088 |
49. Immunotherapy | 0.113 | 0.013 |
50. Abnormally high fibrinogen levels, g/L | -0.110 | 0.018 |
* The Pearson correlation coefficient was calculated to compare the correlation strength between the assumed risk factors and adverse outcomes. A positive correlation means that a high-risk factor value increases the probability of death, whereas a negative correlation shows that the higher the risk factor value, the lower the probability of death. In particular, a drop, rather than high blood saturation, is a risk factor.
** Differences were considered statistically significant at p-value < 0.05.
*** Pneumocystis pneumonia was considered confirmed by both chest computed tomography (CT) showing radiological features of pneumocystis pneumonia and positive polymerase chain reaction (PCR) for sputum and/or bronchoalveolar lavage samples.
**** Pulmonary involvement in cytomegalovirus infection was confirmed by both chest CT showing infiltration patterns suspicious of cytomegalovirus pneumonitis and positive bronchoalveolar lavage PCR of >10,000 copies (additional criteria include positive PCR of >100,000 copies and/or positive PCR result for sputum).
On admission, all patients underwent standard clinical, epidemiologic (complaints, medical history, and physical examination data were collected), laboratory, and instrumental evaluation according to the Temporary Guidelines for Healthcare Workers on the Prevention, Diagnosis, and Treatment of the New Coronavirus Infection (COVID-19) (editions 3–14 depending on the date of hospital admission) [4] and the Decree of the Ministry of Health and Social Development of the Russian Federation No. 718n dated November 9, 2012, “Approval of the Medical Care Standard for Patients with Disease Caused by Human Immunodeficiency Virus (HIV)” [6].
Laboratory biomarkers for evaluation included leukopenia, lymphopenia, and low platelet count in the complete blood count (CBC); C-reactive protein, lactate dehydrogenase (LDH), creatinine, urea, aspartate aminotransferase, and alanine aminotransferase in the blood chemistry; and coagulation test (D-dimer and thrombin clotting time).
In addition, immunological status (including CD4+ count, cells/μL; CD4+ percentage; CD8+ count, cells/μL; CD8+ percentage; and CD4+/CD8+) and serum HIV RNA (using Abbott m2000rt 9K 1501 PCR analyzer) were evaluated in all patients.
The study considered the contribution of coinfections, particularly lung diseases (such as pneumocystis pneumonia, active cytomegalovirus (CMV) infection with lung involvement, and bacterial and fungal pneumonia), and well-known risk factors associated with COVID-19 severity (i.e., diabetes mellitus, obesity, arterial hypertension, chronic kidney disease, and gout).
Major study result
A conventional prognostic model relies on multiple linear regression equations that quantify the association between the disease outcome and exposure to study variables and can, therefore, predict death probability based on the data obtained on hospital admission.
Potential predictors of adverse COVID-19 outcomes in patients with advanced HIV infection included 167 parameters, which were evaluated in each of the 500 patients.
These parameters included clinical and demographic characteristics, i.e., sex and age; clinical and medical history data (number of days since symptom onset until hospital admission, admission to an HIV referral/nonreferral hospital, immunotherapy for COVID-19, previous COVID-19 vaccination, etc.); laboratory data (CBC, leukocyte and lymphocyte counts, blood chemistry and coagulation tests, immunological status evaluation by CD4+ and CD8+ counts, immunoregulatory index profile, plasma HIV viral load measurement, etc.); instrumental examination (lung lesions on chest CT as per the percentage of the whole lung parenchyma affected by COVID-19); and comorbidities and coinfections.
Then, the parameters showing significant differences were identified between the favorable and death outcome subgroups of patients with COVID-19 and advanced HIV coinfection (Table 1). A positive correlation demonstrates that the presence of these factors positively influenced the likelihood of death. When the factor was quantitatively measured, such as using the NEWS2 scale, an increment in its value correspondingly increased the probability of death.
In Table 2, “need for oxygen therapy” is an umbrella parameter for high-flow oxygen supply using AirVo or Aventa device, artificial respiration, and oxygen therapy via an oxygen mask, showing the strongest correlation with mortality in patients with advanced HIV and COVID-19 coinfection. Other predictors were selected in a stepwise manner to ensure that the added factors improved the predictive accuracy of the resulting model, which included seven factors (Table 2).
Table 2. Linear regression coefficients of the risk prediction model in patients with advanced HIV and COVID-19 coinfection
Parameter | B | B-value stat. error | β | p-value |
(Invariable) | -0.14273 | 0.046845 | – | 0.002524 |
Need for oxygen therapy | 0.782731 | 0.080609 | 0.4513 | <0.00001 |
CD 4+ <50, cells/µL | 0.112599 | 0.042149 | 0.1255 | 0.007975 |
Active CMV infection with lung involvement | 0.155922 | 0.048086 | 0.1497 | 0.001321 |
Abnormally high lactate dehydrogenase levels, U/L | 0.124956 | 0.046431 | 0.1205 | 0.007528 |
Encephalitis | 0.204946 | 0.061375 | 0.1465 | 0.000949 |
Urea, mmol/L** | 0.009848 | 0.002621 | 0.1629 | 0.000208 |
Abnormally high fibrinogen levels, g/L | -0.1323 | 0.039011 | -0.1469 | 0.000791 |
* Differences are considered statistically significant at p-value <0.05.
** Blood urea is measured in mmol/L. Other yes/no factors are assumed to be equal to 1 if the requirement is satisfied, or 0 otherwise.
In Table 2, the B-value is the multiplier coefficient used to calculate the forecast, and the B-value statistical error is the statistical error for the factors. The B-value is the factor multiplier coefficient, whereas β stands for the contribution of the factor to the overall prognostic value. In particular, urea is the second strongest contributor, although its B-coefficient modulo is the smallest [7].
The prognostic value calculated based on Table 2 is a numerical parameter: the greater its value, the higher the average probability of death.
Patients are distributed according to the expected outcome if the critical value is arbitrary: the outcome is favorable if the prognostic value is less than the critical value, or unfavorable if the prognostic value exceeds the critical value. Comparison with the actual outcome allows for calculating the sensitivity and specificity of the prognostic method.
Depending on the prognostic value, patients were divided into a few subgroups, instead of two, by the probability of death. In this study, four groups were identified (Table 3).
Table 3. Correlation of the prognostic value to mortality according to the derived prognostic model for patients with advanced HIV and COVID-19 coinfection
Prognostic value | No. of patients corresponding to the prognostic value | Patient mortality corresponding to the prognostic value, no. of patients | Patient mortality corresponding to the prognostic value, % |
<0.2 | 145 | 6 | 4.14 |
0.2–0.4 | 71 | 15 | 21.13 |
0.4–0.6 | 44 | 24 | 54.55 |
>0.6 | 41 | 39 | 95.12 |
Total | 301 | 84 | 27.91 |
According to the abovementioned procedure, the patients were divided into four subgroups depending on the obtained prognostic value. For example, the prognostic value <0.2 was obtained in 145 patients, including 6 patients who died, with a subgroup mortality rate of 4.14%. The prognostic value is converted into outcome probability in Table 3. This table is designed based on the complete dataset obtained from 301 of the 500 patients who had a full set of data used in the prognostic analysis.
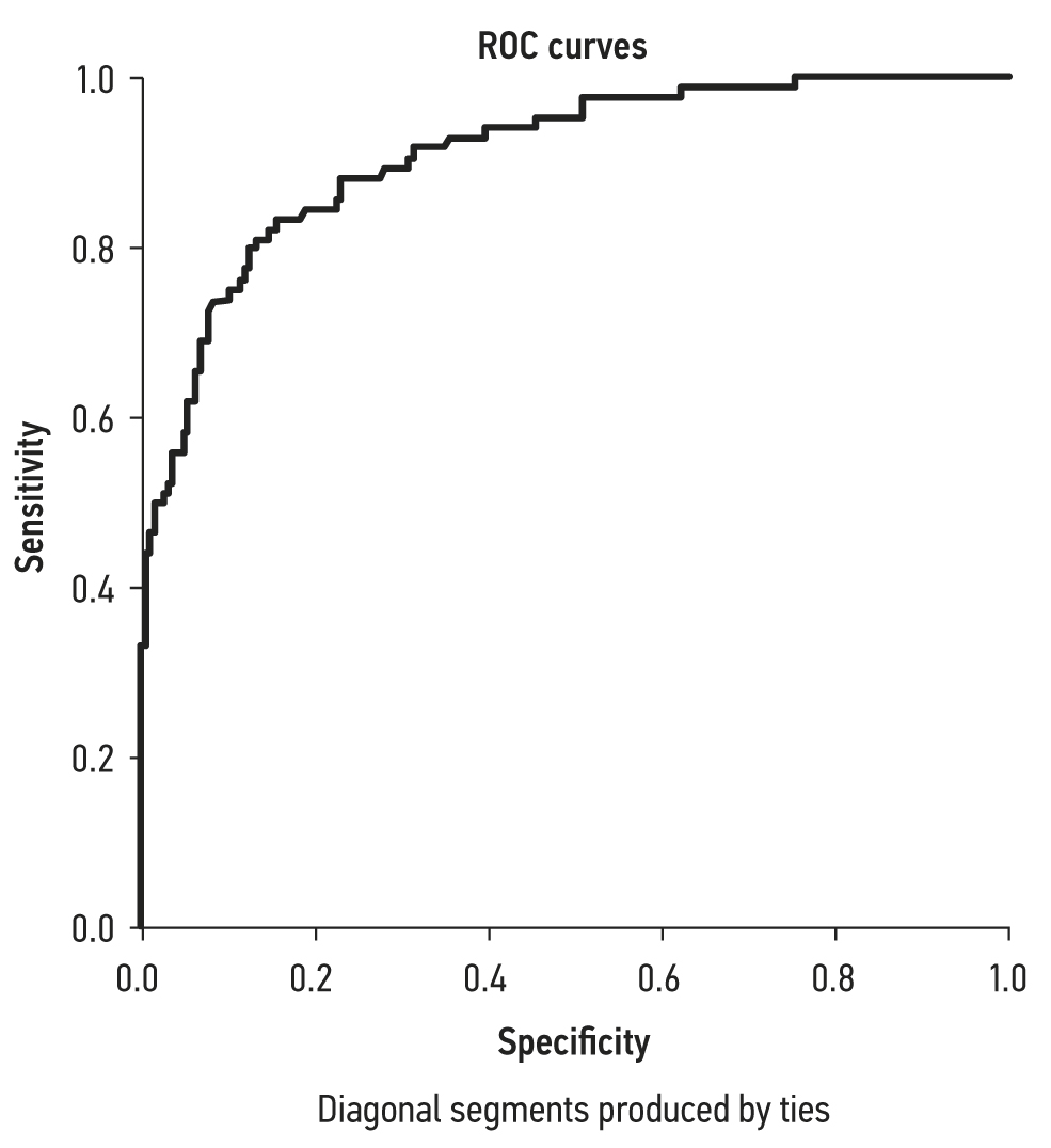
To assess the prognostic model significance in practice, prognostic values for the available data were calculated and later compared with the outcome. Eventually, an ROC curve was plotted (Fig. 2). Modifications in the critical value would alter the sensitivity and specificity. The ROC curve is a graphical representation of all sensitivity/specificity datasets.
Fig. 2. The prognostic value to mortality correlation according to the derived prognostic model for advanced HIV patients co-infected with COVID-19.
The area under the ROC curve (ROC AUC) shows the rate of false-positive cases against the rate of true-positive cases. If the classifier is flawless, the ROC AUC is 1.0, whereas in the case of a classifier with a random performance level, the ROC AUC is 0.5. In this study, the ROC AUC was 90.9%, confirming the prediction accuracy and its practical significance.
The following patient case shows how the proposed prognostic model can be applied in a practical setting.
Patient V., a 42-year-old female patient, experienced disease symptoms for 3 weeks, including cough, malaise, and fever (up to 38℃). She received symptomatic treatment, was admitted to City Clinical Hospital N in Moscow, and 1 week later was transferred to the Infectious Diseases Hospital No. 2 in Moscow because of an HIV infection detected on day 27 of the disease.
On admission, the patient’s condition was severe, with NEWS of 7, respiratory rate of 24 breaths per minute, SpO2 of 84% in room air, and oxygen therapy up to 97% via an oxygen mask.
Laboratory test data were as follows: total protein, 61.3 g/L; urea, 28 mmol/L; albumin, 30.7 g/L; CD4+ count, 0 cells/μL; СD4, 0%; fibrinogen, 5.4 g/L.
Chest CT revealed bilateral, predominantly on the right side, ground-glass opacification and thickening of the lung tissue in the upper and lower lobes and irregular, mostly subpleural consolidation, predominantly involving the right lower lobe. The lesion volume was up to 75% on the right and 25% on the left (Table 4).
The patient’s disease severity index was 1.021. As shown in Table 3, the patient’s prognostic value was >0.6, which indicated that the patient was at extremely high risk, with a mortality risk rate of 95.12%. On day 5 of hospital admission, patient V. suffered an unfavorable outcome.
Table 4. Applying the multifactor model to a patient case
Parameter | Values for patient V, female (А) | В | А×В |
Invariable | – | -0.14273 | -0.14273 |
Need for oxygen therapy | 1 | 0.782731 | 0.782731 |
CD 4+ <50, cells/µL | 1 | 0.112599 | 0.112599 |
Active CMV infection with lung involvement | 0 | 0.155922 | 0 |
Abnormally high lactate dehydrogenase levels, U/L | 1 | 0.124956 | 0.124956 |
Encephalitis | 0 | 0.204946 | 0 |
Urea | 28 | 0.009848 | 0.275744 |
Abnormally high fibrinogen levels, g/L | 1 | -0.1323 | -0.1323 |
Disease severity index | – | – | 1.021 |
The developed prognostic model (Table 4) allows us to estimate potential outcomes of HIV and COVID-19 coinfection in patients with advanced disease admitted to hospitals and to plan adequate treatment based on the results.
DISCUSSION
Early studies have failed to show the effect of HIV infection on the disease course and outcomes of COVID-19 in patients with good immune status who received ART [17].
This study is an unprecedented attempt to comprehensively assess patient history; demographic, laboratory and instrumental data; and the effect of opportunistic coinfections on the mortality of patients with advanced HIV infection and COVID-19.
Summary of the main study result
Based on relevant predictors assessed at hospital admission, a prognostic model was derived to estimate COVID-19 outcomes in patients with advanced HIV infection. Predictions were estimated based on available data, and a ROC curve was derived to evaluate the practical relevance of the model. The ROC AUC was 90.9%, which confirmed the prediction accuracy and practical significance.
Discussion of the main study result
In patients with advanced HIV infection, COVID-19 outcomes depend on the following factors of utmost significance: need for oxygen therapy (via high-flow oxygen supply devices or oxygen mask), profound immunodeficiency (CD4+ count <50 cells/μL), active CMV infection with lung lesions, unspecified encephalitis, and abnormal laboratory tests (abnormally high levels of LDH, fibrinogen, and quantitatively detected urea).
The resulting model included a unique set of risk factors for unfavorable COVID-19 outcomes in patients with advanced HIV infection, showing similarities and differences with existing COVID-19 prognostic models.
The study showed that respiratory failure, i.e., the need for oxygen therapy, is the most pivotal risk factor for unfavorable COVID-19 outcomes in patients with advanced HIV infection. In the study, 60.8% (365/500) of patients presented with respiratory failure, including 85.9% (116/135) in the deceased group. The need for oxygen therapy is a major risk factor of death, increasing the risk of adverse outcomes by 3.94-fold. The result is consistent with similar population studies for patients with COVID-19; however, the risk factor contribution to death differs among subgroups and COVID-19 pandemic period [8].
HIV-associated risk factors of poor outcomes in patients with COVID-19 and advanced HIV coinfection, included absence of ART, unsuppressed HIV viral load, and reduced CD4+ count.
The study showed that CD4+ count reduction increased the risk of poor outcomes in COVID-19 and advanced HIV coinfection: the risk increased 3.24-fold at CD4+ count <50 cells/μL and 3.21-fold at CD4+ count <200 cells/μL, respectively. Considering that research publications provide scarce data on COVID-19 and advanced HIV coinfection, our results regarding the course and outcomes of COVID-19 were compared with those of a general cohort of patients with HIV. For example, Nagibina MV et al. demonstrated that one of the predictors of an adverse outcome in patients with COVID-19 and HIV coinfection was a CD4+ lymphocyte count of <200 cells/μL [9], and Dandachi et al. showed that a 5.22-fold CD4+ decrease <200 cells/μL improved the likelihood of hospitalization [10], whereas Yendewa et al. reported that CD4+ count <200 cells/μL was associated with an eightfold increase in mortality risk [11]. The discrepancy in results is caused by the difference in the disease stage among the enrolled patients. In addition, Yendewa et al. included 81.6% of patients with CD4+ count ≥200 cells/μL, whereas in the present study, such patients accounted for 21.2%.
Moreover, evidence suggests that in patients with HIV and COVID-19 coinfection, HIV viral load >20,000 copies/mL increased the risk of poor outcomes by 3.37-fold. HIV viral load data are missing in most large-scale cohort studies [10, 12, 13]. Kassanjee et al. assumed that HIV viral load does not translate into any difference in patient outcomes [14]. However, the number of patients with unsuppressed viral load (209 patients in the surviving group and 12 in the deceased group) was small relative to a total of 22,308 patients with COVID-19 and HIV coinfection; in addition, patients were not divided by HIV stage.
The absence of АРV treatment in patients with advanced HIV and COVID-19 coinfection increased the poor outcome risk by 1.88-fold. Sun et al. suggest that the absence of ART was a risk factor for severe COVID-19 among patients with HIV infection [15]. The odds ratio for severe COVID-19 was 5.06 times greater in patients without ART.
Although these risk factors increased the adverse outcome risk for patients with COVID-19 and advanced HIV coinfection, the set of the analyzed factors did not increase the significance of the predictive model as shown in the multivariate analysis. Therefore, CD4+ count <50 cells/μL was the only factor incorporated in the model.
Contemporary papers suggest limited evidence on the incidence of opportunistic infections and their adverse outcomes in COVID- 19 and HIV coinfection. This study revealed that patients with COVID-19 and advanced HIV coinfection presented with 1–7 opportunistic comorbidities, in which 81% were diagnosed with a pulmonary coinfection caused by other agents. Comorbidities and opportunistic infections significantly increased the mortality risk in patients with COVID-19 and advanced HIV coinfection, such as Kaposi’s sarcoma, pneumocystis pneumonia, active CMV infection with lung involvement, and unspecified encephalitis. These diseases increased the risk of unfavorable outcomes by 3.17, 2.74, 2.56, and 2.32 times, respectively. Along with the HIV-associated risk factors, the predictive model included other factors to improve its prognostic value, such as active CMV infection with lung involvement and unspecified encephalitis.
The prognostic model includes both laboratory tests and data on the serum levels of urea, LDH, and fibrinogen exceeding the upper reference limit. LDH is widely present in the cytoplasm and mitochondria of various tissues as a key enzyme for glycolysis, which can cause tissue cell damage. Many disorders, including some infections, hepatic fibrosis, acute myocardial infarction, and malignant tumors, can upregulate LDH activity [16]. The possible underlying mechanism suggests that under hypoxic conditions, inflammation can promote anaerobic glycolysis, producing adenosine triphosphate, which activates macrophages to release large amounts of inflammatory mediators [17]. Infections and other stressful events may increase the levels of fibrinogen, an acute-phase protein, associated with cardiovascular risk [17]. A high urea level is associated with intensified infection-induced catabolism and was incorporated into the CURB-65 scale in 2003, a scale popularly used to assess the severity of pneumonia [18].
Notably, C-reactive protein levels showed reliable differences between COVID-19 survivors with advanced HIV infection and nonsurvivors, who were not included in the multivariate analysis. Patient age, which is the most notoriously reported risk factor of adverse COVID-19 outcomes, did not exacerbate the risk for patients with COVID-19 and advanced HIV coinfection, although the study enrolled patients of a fairly wide age spectrum (21–76 years). Considering the small number of patients with conventional risk factors (e.g., obesity, diabetes mellitus, and cardiovascular diseases), no data were obtained regarding the contribution of these comorbidities.
Study limitations
The study was conducted in one clinical center and focused on a small group of patients with advanced HIV infection as a specific cohort at a high risk of adverse COVID-19 outcomes. Thus, extrapolating these results to all patients with HIV and COVID-19 coinfection is impossible.
Conclusion
To assess the practical significance of the proposed predictive model, the prognostic value of the available data was calculated, and the ROC curve was plotted. The AUC was 90.9%, which confirms the accuracy of the prediction, showing practical significance. The proposed prognostic model allows us to estimate the possible outcomes in patients with COVID-19 and HIV coinfection at late stages during hospital admission and, based on the obtained result, to decide on the need for hospitalization in a general ward or intensive care unit, and to plan adequate therapeutic measures.
Additional information
Funding source. This study was not supported by any external sources of funding.
Competing interests. The authors declare that they have no competing interests.
Authors’ contribution. All authors made a substantial contribution to the conception of the work, acquisition, analysis, interpretation of data for the work, drafting and revising the work, final approval of the version to be published and agree to be accountable for all aspects of the work. V.P. Chulanov and E.V. Volchkova — study concept and design; A.N. Gerasimov — study design mathematical modelling, statistical data processing, draft manuscript preparation; A.E. Tsygankova, A.A. Privalenko and D.V. Baimukhambetova — patient medical records collection from archive, selection and analysis of publications, statistical data processing and analysis, draft manuscript preparation; V.A. Bakhtina and V.A. Khabudaev — selection and approval of clinical data in conformity with Ethical Standards; E.V. Volchkova — manuscript proofreading and editing.
About the authors
Anna E. Tsygankova
I.M. Sechenov First Moscow State Medical University (Sechenov University)
Author for correspondence.
Email: anna.tsygankova.inf@gmail.com
ORCID iD: 0000-0003-3766-1868
SPIN-code: 6583-0476
ResearcherId: HDM-3718-2022
MD
Russian Federation, 8 Trubetskaya street, 119048 MoscowVladimir P. Chulanov
I.M. Sechenov First Moscow State Medical University (Sechenov University)
Email: vladimir.chulanov@rcvh.ru
ORCID iD: 0000-0001-6303-9293
SPIN-code: 2336-4545
MD, Dr. Sci. (Med.), Professor
Russian Federation, 8 Trubetskaya street, 119048 MoscowAndrey N. Gerasimov
Central Research Institute of Epidemiology
Email: andr-gerasim@yandex.ru
ORCID iD: 0000-0003-4549-7172
SPIN-code: 4742-1459
Scopus Author ID: 141741
Dr. Sci. (Phys.-Math.), Associate Professor
Russian Federation, MoscowElena V. Volchkova
I.M. Sechenov First Moscow State Medical University (Sechenov University)
Email: antononina@rambler.ru
ORCID iD: 0000-0003-4581-4510
SPIN-code: 3342-4681
MD, Dr. Sci. (Med.), Professor
Russian Federation, 8 Trubetskaya street, 119048 MoscowAnton A. Privalenko
Central Research Institute of Epidemiology
Email: antochka001@mail.ru
ORCID iD: 0009-0001-4827-1673
medical statistician
Russian Federation, MoscowViktoriya A. Bakhtina
Specialized Clinical Infectious Hospital
Email: dom-167@mail.ru
ORCID iD: 0000-0001-6065-2922
SPIN-code: 9446-5319
MD, Cand. Sci. (Med.)
Russian Federation, KrasnodarVladimir A. Khabudaev
Irkutsk Regional Clinical Hospital
Email: ioikb@ioikb.ru
MD, Cand. Sci. (Med.)
Russian Federation, IrkutskDina V. Baimukhambetova
I.M. Sechenov First Moscow State Medical University (Sechenov University)
Email: dbaimukhambietova@bk.ru
ORCID iD: 0000-0002-5518-9301
SPIN-code: 9039-7431
6th year student
Russian Federation, 8 Trubetskaya street, 119048 MoscowReferences
- Royal College of Physicians. National Early Warning Score (NEWS): Standardising the assessment of acuteillness severity in the NHS. London: RCP; 2012.
- Zheng Z, Peng F, Xu B, et al. Risk factors of critical & mortal COVID-19 cases: A systematic literature review and meta-analysis. J Infect. 2020;81(2):e16–e25. doi: 10.1016/j.jinf.2020.04.021
- Zhou Y, Zhang Z, Tian J, Xiong S. Risk factors associated with disease progression in a cohort of patients infected with the 2019 novel coronavirus. Ann Palliat Med. 2020;9(2):428–436. doi: 10.21037/apm.2020.03.26
- Vremennye metodicheskie rekomendatsii. Profilaktika, diagnostika i lechenie novoi koronavirusnoi infektsii (COVID-19). Versii 3–18. Ministerstvo zdravookhraneniya Rossiiskoi Federatsii. [Internet]. (In Russ). Available at: https://minzdrav.gov.ru/ministry/med_covid19.
- Wynants L, Van Calster B, Collins GS, et al. Prediction models for diagnosis and prognosis of COVID-19: systematic review and critical appraisal. BMJ. 2020;369:m1328. doi: 10.1136/bmj.m1328
- Prikaz Ministerstva zdravookhraneniya Rossiiskoi Federatsii ot 9 noyabrya 2012 g. № 758n “Ob utverzhdenii standarta spetsializirovannoi meditsinskoi pomoshchi pri bolezni, vyzvannoi virusom immunodefitsita cheloveka (VICh-infektsii)” [Internet]. (In Russ). Available at: https://minzdrav.gov.ru/documents/8837-prikaz-ministerstva-zdravoohraneniya-rossiyskoy-federatsii-ot-9-noyabrya-2012-g-758n-ob-utverzhdenii-standarta-spetsializirovannoy-meditsinskoy-pomoschi-pri-bolezni-vyzvannoy-virusom-immunodefitsita-cheloveka-vich-infektsii.
- Gerasimov AN, Morozova NI. Parametric and Nonparametric Methods in Medical Statistics. Epidemiology and Vaccinal Prevention. 2015;14(5):6–12. (In Russ). doi: 10.31631/2073-3046-2015-14-5-6-12
- Chen R, Liang W, Jiang M, et al. Risk Factors of Fatal Outcome in Hospitalized Subjects With Coronavirus Disease 2019 From a Nationwide Analysis in China. Chest. 2020;158(1):97–105. doi: 10.1016/j.chest.2020.04.010
- Nagibina MV, Smirnov NA, Bessarab TP, et al. Analysis of the course and outcomes of COVID-19 in HIV infected patients according to the infectious diseases’ hospital of Moscow. Clinical Medicine (Russian Journal). 2023;101(2-3):93–100. (In Russ). doi: 10.30629/0023-2149-2023-101-2-3-93-100
- Dandachi D, Geiger G, Montgomery MW, et al. Characteristics, Comorbidities, and Outcomes in a Multicenter Registry of Patients With Human Immunodeficiency Virus and Coronavirus Disease 2019. Clin Infect Dis. 2021;73(7):e1964–e1972. doi: 10.1093/cid/ciaa1339
- Yendewa GA, Perez JA, Schlick K, Tribout H, McComsey GA. Clinical Features and Outcomes of Coronavirus Disease 2019 Among People With Human Immunodeficiency Virus in the United States: A Multicenter Study From a Large Global Health Research Network (TriNetX). Open Forum Infect Dis. 2021;8(7):ofab272. doi: 10.1093/ofid/ofab272
- Danwang C, Noubiap JJ, Robert A, Yombi JC. Outcomes of patients with HIV and COVID-19 co-infection: a systematic review and meta-analysis. AIDS Res Ther. 2022;19(1):3. doi: 10.1186/s12981-021-00427-y
- Geretti AM, Stockdale AJ, Kelly SH, et al. Outcomes of Coronavirus Disease 2019 (COVID-19) Related Hospitalization Among People With Human Immunodeficiency Virus (HIV) in the ISARIC World Health Organization (WHO) Clinical Characterization Protocol (UK): A Prospective Observational Study. Clin Infect Dis. 2021;73(7): e2095–e2106. doi: 10.1093/cid/ciaa1605
- Kassanjee R, Davies MA, Ngwenya O, et al. COVID-19 among adults living with HIV: correlates of mortality among public sector healthcare users in Western Cape, South Africa. J Int AIDS Soc. 2023;26(6):e26104. doi: 10.1002/jia2.26104
- Sun J, Jiang R, Shao Y, et al. Antiretroviral therapy-naïve people living with HIV tend to have more severe symptoms of COVID-19. Chin Med J (Engl). 2023;136(22):2753–2755. doi: 10.1097/CM9.0000000000002902
- Marmorino F, Salvatore L, Barbara C, et al. Serum LDH predicts benefit from bevacizumab beyond progression in metastatic colorectal cancer. Br J Cancer. 2017;116(3):318–323. doi: 10.1038/bjc.2016.413
- Lu J, Wei Z, Jiang H, et al. Lactate dehydrogenase is associated with 28-day mortality in patients with sepsis: a retrospective observational study. J Surg Res. 2018;228:314–321. doi: 10.1016/j.jss.2018.03.035
- Gulhar R, Ashraf MA, Jialal I. Physiology, Acute Phase Reactants. In: StatPearls [Internet]. Treasure Island (FL): StatPearls Publishing; 2024. Available at: http://www.ncbi.nlm.nih.gov/books/NBK519570.
- Lim WS, van der Eerden MM, Laing R, et al. Defining community acquired pneumonia severity on presentation to hospital: an international derivation and validation study. Thorax. 2003;58(5): 377–382. doi: 10.1136/thorax.58.5.377
Supplementary files





